Association of anthropometric parameters with the risk of developing type 2 diabetes in overweight or obese individuals: cohort prospective study
- Authors: Valeeva F.V.1, Khasanova K.B.1, Yilmaz T.S.1, Mansurova R.G.2
-
Affiliations:
- Kazan State Medical University
- City polyclinic №18
- Issue: Vol 24, No 4 (2022)
- Pages: 242-246
- Section: Articles
- Published: 22.04.2022
- URL: https://consilium.orscience.ru/2075-1753/article/view/108921
- DOI: https://doi.org/10.26442/20751753.2022.4.201553
- ID: 108921
Cite item
Full Text
Abstract
Background. Type 2 diabetes mellitus (T2DM) is a non-infectious pandemic of the 21st century. The severity and complexity of this disease is associated with the development and progression of chronic complications that begin at the stage of early carbohydrate and fat metabolism disorders.
Aim. To identify the leading anthropometric predictors of the development of type 2 diabetes in overweight or obese patients with early carbohydrate metabolism disorders.
Materials and methods. The cohort prospective study involved 112 overweight or obese adults (all citizens of Russia, Republic of Tatarstan) aged 22 to 79. The study was carried out from 2016 to 2018 in the City polyclinic №18. R 4.1.0 environment was used for statistical analysis. Univariable and multivariable logistic regression modeling were performed to evaluate association between outcomes and possible predictors, odds ratios with 95% confidence intervals were estimated. Area under the ROC-curve and Nagelkerke pseudo R-squared was used to compare prognostic performance of predictors.
Results. During 3 years of follow-up of 112 patients –– with early carbohydrate metabolism disorders (prediabetes; n=64), without prediabetes (n=48) – without medical intervention, new cases of type 2 diabetes in people with prediabetes and obesity amounted to 29% (n=18) compared with 6% (n=3) for patients with normal glucose levels. The ratio of waist circumference to height (WHtR) and the ratio of waist to hip circumference (WHR) had the greatest discriminative ability according to univariate and multifactorial analyses.
Discussion. Our study is consistent with previous work indicating a negative impact of visceral adipose tissue on the risk of developing T2DM. WHR and WHtR most accurately reveal the visceral type of obesity. WHR and WHtR are statistically significant parameters for assessing the risk of developing T2DM according to our study.
Conclusion. WHR and WHtR can be used as predictors of type 2 diabetes in overweight or obese individuals.
Full Text
Введение
Сахарный диабет (СД) 2 типа – неинфекционная пандемия XXI в., представляющая собой серьезную медицинскую и социально-экономическую проблему во всем мире [1]. В первую очередь это связано с развитием и прогрессированием хронических осложнений. Важно помнить, что наличие СД 2 определяет пациента в группу высокого и очень высокого сердечно-сосудистого риска. В связи с этим ранняя диагностика СД 2 и персонифицированная сахароснижающая терапия являются основой профилактики хронических осложнений диабета [1].
В то же самое время развитию СД 2, особенно у лиц с избыточной массой тела и ожирением, долгое время предшествуют ранние нарушения углеводного обмена – РНУО (нарушенная гликемия натощак – НГН и толерантность к глюкозе), которые могут быть отправной точкой в формировании поздних осложнений гипергликемии [2]. Поэтому на сегодняшний день крайне актуальным является выявление предикторов развития СД 2 у лиц с уже имеющимися факторами риска (например, избытком массы тела, ожирением или предиабетом). В идеале эти параметры должны быть точными, доступными, легко рассчитываемыми и информативными.
Самым распространенным показателем для диагностики избытка массы тела/ожирения является индекс массы тела (ИМТ) [3]. К сожалению, данный показатель не отражает реального количества жировой ткани в организме и ее локализации [4], неинформативен у людей с преобладанием/недостаточностью мышечной массы [3], не может быть использован у беременных и детей. Кроме того, ИМТ в ряде ситуаций остается в норме даже при избытке жира в организме [5], что связано со снижением мышечной массы и повышением жировой ткани в организме [6].
В последнее время во врачебной практике стало уделяться большое внимание антропометрическим параметрам, косвенно характеризующим именно количество жировой ткани и ее распределение, а также применяемым для оценки прогноза развития сердечно-сосудистых событий. К ним относятся окружность талии (ОТ), окружность бедер (ОБ), соотношение ОТ к ОБ (ОТ/ОБ), соотношение ОТ к росту (ОТ/рост), уравнение Deurenberg.
ОТ в большей степени характеризует отложение жира по висцеральному типу [7, 8]. На сегодняшний день диагностировать абдоминальное ожирение можно при ОТ у женщин более или равном 80 см, а у мужчин – более 94 см [9], даже в том случае, если ИМТ находится в пределах нормы (18–24,9 кг/м2). Показано, что женщины с повышенным ОТ при нормальном ИМТ имеют более высокий риск смерти от сердечно-сосудистой и онкологической патологии (по сравнению с женщинами с нормальным ОТ и ИМТ) [10]. Соответственно, пациенты с нормальным ИМТ и повышенным ОТ не должны рассматриваться в качестве «здоровых», им должно проводиться тщательное обследование для выявления метаболических нарушений.
Обхват бедер характеризует в большей степени глютео- феморальный тип ожирения. Изолированно данный показатель не используется в клинической практике. В то же время соотношение ОТ/ОБ является еще одним важным показателем диагностики висцерального ожирения. В норме ОТ/ОБ у женщин должно быть менее 0,85, а у мужчин – менее 0,9. В исследованиях показано, что повышенное значение ОТ/ОБ сопряжено с распространенностью недиагностированного СД 2 [11], а также недиагностированной гипертонии и дислипидемии [12].
Соотношение ОТ к росту, в свою очередь, достаточно редко используется в рутинной врачебной практике эндокринолога/терапевта, хотя согласно литературным данным этот показатель обладает рядом преимуществ [13]. Во-первых, определение ОТ/рост проще в подсчете и оценке в сравнении с ИМТ. Во-вторых, значение выше 0,5 (в норме данный показатель должен быть менее 0,5) свидетельствует о висцеральном ожирении, что намного информативнее ИМТ для оценки риска развития метаболических нарушений. В-третьих, отношение ОТ/рост одинаково ценно и у детей, и у взрослых мужчин и женщин в разных этнических группах [13]. Соотношение ОТ/рост является более стабильным показателем по сравнению с индексом ОТ/ОБ. Рост взрослого человека практически не изменяется в течение жизни, в то время как ОТ и ОБ обладают большой вариабельностью при повышении и снижении массы тела [3].
Процентное содержание жировой ткани может быть также косвенно оценено с помощью уравнения Deurenberg: 1,2 (ИМТ) + 0,23 (возраст) - 10,8 (пол) - 5,4, где возраст – число полных лет, а пол – коэффициент, равный 1 для мужчин и 0 для женщин. Это уравнение имеет стандартную погрешность 4% и учитывает приблизительно 80% всей массы жировой ткани в организме. Содержание жировой ткани более 25% у мужчин и более 33% у женщин свидетельствует об ожирении [14]. В норме данные величины не превышают 15–20% у мужчин и 25–30% у женщин.
Цель исследования – выявить ведущие антропометрические предикторы развития СД 2 у лиц с избытком массы тела/ожирением, РНУО и без РНУО.
Материалы и методы
В когортном проспективном исследовании приняли участие 112 пациентов с избытком массы тела/ожирением – жителей Республики Татарстан (79% женщин и 21% мужчин) в возрасте от 22 до 79 лет (табл. 1). Исследование проводилось с 2016 по 2018 г. на базе ГАУЗ «Городская поликлиника №18» г. Казани.
Таблица 1. Характеристика исследуемых групп | |||
Показатель | Отсутствие трансформации в СД 2 (n=91) | Трансформация в СД 2 (n=21) | Различие между группами, p |
Число пациентов, абс. (%) | 91/112 (81,2%) | 21/112 (18,8%) | |
Пол, жен/муж, абс. (%) | 77/91 (84,6) | 17/21 (81,0) | 0,9343 |
14/91 (15,4) | 4/21 (19,0) | ||
Возраст, лет | 57,9 (12,7) | 63,9 (7,5) | 0,0350 |
Наследственность по СД 2, абс. (%) | 28/91 (30,8) | 10/21 (47,6) | 0,2246 |
Наличие ожирения у матери, абс. (%) | 47/91 (51,6) | 16/21 (76,2) | 0,0719 |
Критерии включения: лица старше 18 лет с избытком массы тела или ожирением по висцеральному типу и наличием по крайней мере 1 из факторов риска СД 2 (отягощенная наследственность по СД 2; гестационный СД и/или рождение крупного плода в анамнезе, предиабет в анамнезе).
Критериями невключения в исследование стали клиническая картина острой декомпенсации углеводного обмена; острые сердечно-сосудистые катастрофы в течение последнего месяца; алкогольная, наркотическая зависимость; наличие психических расстройств; беременность и лактационный период.
Всем пациентам с факторами риска и без диагноза СД 2 на момент включения в исследование проведен пероральный глюкозотолерантный тест (согласно положениям, приведенным в алгоритмах специализированной медицинской помощи больным СД 2021 г.) и определен уровень гликированного гемоглобина. Оценивались антропометрические показатели согласно общепринятым методикам: рост, масса тела, рассчитывались ИМТ, ОТ и ОБ с последующим расчетом соотношения ОТ/ОБ, индексы висцерального ожирения ОТ/рост и уравнение Deurenberg. Через 3 года наблюдения всем пациентам повторно проведен анализ крови на глюкозу.
Статистический анализ данных проводили с помощью среды для статистических вычислений R 4.1.0 (R Foundation for Statistical Computing, Вена, Австрия). Описательные статистики представлены в виде числа наблюдений (относительная частота) для качественных переменных и среднего (стандартное отклонение) и медианы (1 и 3-й квартили) – для количественных.
Для анализа ассоциации изучаемых исходов с возможными предикторами использовалась однофакторная и многофакторная бинарная логистическая регрессия (в качестве оценки размера эффекта выступало стандартизованное отношение шансов – ОШ с соответствующим 95% доверительным интервалом – ДИ). Прогностическая значимость предикторов оценивалась с помощью площади под ROC-кривой (AUC), а также псевдо-R2 Найджелкерке. В качестве ковариаты в многофакторных моделях выступали пол и возраст пациента. Для определения порогового значения использовалась J-статистика Юдена.
Организация и проведение данной работы осуществлялись в соответствии с положениями Хельсинкской декларации Всемирной медицинской ассоциации «Рекомендации для врачей, занимающихся биомедицинскими исследованиями с участием людей». Исследование одобрено локальным этическим комитетом ФГБОУ ВО «Казанский ГМУ» (выписка из протокола заседания №10 от 22 декабря 2015 г.). Каждый пациент подписал информированное согласие на участие в исследовании.
Результаты
В течение 3 лет наблюдались 112 пациентов с избытком массы тела/ожирением. В первой точке всем испытуемым проводили тест толерантности с глюкозой и измерение гликированного гемоглобина. РНУО определены у 64 пациентов: нарушенная толерантность к глюкозе (n=44), НГН (n=20), у остальных нарушения углеводного обмена отсутствовали (n=48). За 3 года наблюдения без медикаментозного вмешательства новые случаи СД 2 у лиц с РНУО и ожирением составили 29% (18 человек) по сравнению с 6% (3 человека) для пациентов с нормальным уровнем глюкозы. В группе нарушенной толерантности к глюкозе впервые выявленный СД 2 определен у 31,8%, в группе НГН их оказалось 28% (р=0,38). Пациенты, у которых за 3 года наблюдения развился СД 2, старше группы лиц, не достигших диабетических цифр гликемии (р=0,03). У этих пациентов также чаще встречалось ожирение у матери (р=0,07). Клиническая характеристика пациентов представлена в табл. 1.
С помощью однофакторного анализа мы оценили изолированные дискриминативные характеристики антропометрических показателей. Установлено, что параметры ОТ, ОТ/ОБ, ОТ/рост статистически значимо ассоциированы с риском реализации в явный СД 2 в течение 3 лет. Наибольшей дискриминативной способностью (AUC) обладали предикторы ИМТ, ОТ, ОТ/ОБ, ОТ/рост и уравнение Deurenberg. При этом максимальный показатель AUC обнаружен у соотношения ОТ/рост, а следующий по значению – ОТ/ОБ (табл. 2).
Таблица 2. Однофакторный анализ ассоциации антропометрических параметров с риском развития СД 2 | |||||
Предиктор | Отсутствие трансформации в СД 2 (n=91) | Трансформация в СД 2 (n=21) | ОШ [95% ДИ] | P | AUC |
Масса тела, кг | 81,0 (67,2–95,5) | 80,0 (76,0–95,0) | 0,1950 | 0,58 | |
ИМТ, кг/м2 | 29,9 (26,2–34,6) | 32,0 (28,6–34,5) | 0,0951 | 0,60 | |
ОТ, см | 102,0 (90,0–112,0) | 107,0 (103,0–111,0) | 0,0386 | 0,61 | |
ОБ, см | 111,0 (103,5–119,5) | 112,0 (107,0–116,0) | 0,1931 | 0,55 | |
ОТ/ОБ | 0,91 (0,87–0,95) | 0,94 (0,89–0,98) | 0,0467 | 0,62 | |
ОТ/рост | 0,62 (0,55–0,68) | 0,65 (0,62–0,70) | 0,0327 | 0,65 | |
Deurenberg | 42,14 (37,89–48,71) | 45,48 (41,80–49,70) | 0,0680 | 0,62 | |
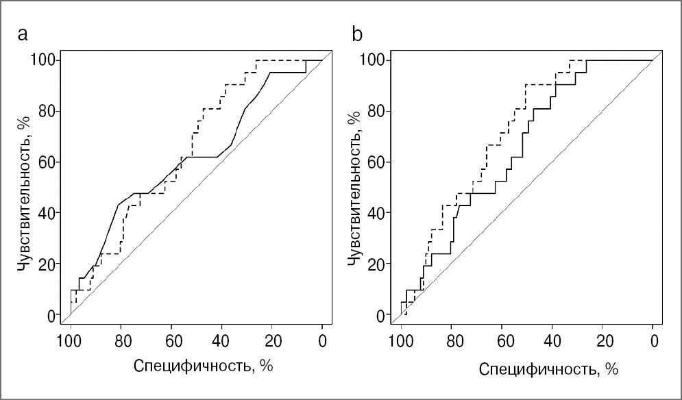
Для показателей ОТ/ОБ и ОТ/рост определены пороговые значения, максимизирующие J-статистику Юдена, и оценены чувствительность и специфичность (рис. 1). Порог для соотношения ОТ/ОБ составил 0,96 (Se=42,9%, Sp=81,3%). Порог для соотношения ОТ/рост – 0,59 (Se=90,9%, Sp=38,5%).
Рис. 1. ROC-кривые, характеризующие прогностическую значимость антропометрических показателей (сплошная линия – ОТ/ОБ, пунктирная – ОТ/рост): a – ROC-кривые для предсказаний однофакторных моделей; b – ROC-кривые для предсказаний многофакторных моделей.
Для оценки практической значимости исследованных в настоящей работе антропометрических показателей в качестве прогностических факторов независимо от пола и возраста использовались многофакторные логистические регрессионные модели. Уравнение Deurenberg не анализировалось в связи с тем, что показатель высчитывается с учетом роста и возраста. Подобно результатам однофакторного анализа ассоциации параметров ОТ, ОТ/ОБ, ОТ/рост с риском перехода в СД 2 сохраняются. Максимальный AUC выявлен у параметра ОТ/ОБ, а следующим по значению AUC является соотношение ОТ/рост (табл. 3).
Таблица 3. Многофакторный анализ ассоциации антропометрических параметров с риском развития СД 2 с поправкой на пол и возраст | ||||
Предиктор | ОШ [95% ДИ] | P | R2 | AUC |
Масса тела | 0,0918 | 0,11 | 0,47 | |
ИМТ | 0,0510 | 0,13 | 0,56 | |
ОТ | 0,0249 | 0,15 | 0,55 | |
ОБ | 0,1191 | 0,11 | 0,45 | |
ОТ/ОБ | 0,0363 | 0,14 | 0,60 | |
ОТ/рост | 0,0259 | 0,14 | 0,57 | |
Deurenberg | 0,0510 | 0,13 | 0,56 | |
Обсуждение
Наше исследование показало, что риск перехода предиабета в диабет больше всего ассоциирован с возрастом и наличием ожирения у матери.
Возраст как предиктор развития СД 2 известен достаточно давно и описан в большом количестве работ [15]. В проспективном исследовании под руководством S. Buscemi и соавт. продемонстрировано, что с возрастом значительно снижается процент лиц с «метаболически здоровым» ожирением и возрастает процент пациентов с «метаболически нездоровым» ожирением [16].
Наличие ожирения у женщины до беременности значительно повышает риск развития гестационного диабета. В настоящее время известно, что гестационный диабет увеличивает риск развития диабета как у самой женщины, так и у ребенка [17].
На основании локализации и функциональных особенностей жировой ткани ожирение подразделяется на 2 типа – висцеральное и глютео-феморальное. Висцеральная жировая клетчатка рассматривается в качестве активного метаболического органа, продуцирующего адипокины, которые оказывают влияние на обмен жиров и углеводов (развитие дислипидемии и нарушений углеводного обмена), синтез факторов воспаления (развитие хронического воспаления), коагуляцию (повышение свертывания крови), артериальное давление (развитие артериальной гипертензии) и т.д. Большое количество ранее проведенных проспективных и кросс-секционных исследований показало более высокий риск развития СД 2 у лиц с выраженным висцеральным ожирением, которое оценивается с помощью измерений ОТ, ОТ/ОБ или толщины кожной складки. Интересно, что данные антропометрические показатели демонстрировали достаточно сильный эффект, который не зависел от уровня инсулина, гликемии и наличия отягощенного семейного анамнеза по СД 2 [18].
Согласно нашему исследованию статистически значимыми параметрами для оценки риска развития СД 2 являются ОТ, ОТ/ОБ, ОТ/рост. Полученный результат не противоречит данным других исследований, все три показателя играют важную роль в разных популяциях [19–21]. Данные показатели напрямую отражают накопление висцерального жира в организме, который, в свою очередь, является одним из главных факторов риска развития СД 2 [22].
Проведенные нами однофакторный и многофакторный анализы показали, что индексы ОТ/рост и ОТ/ОБ обладают наибольшей предсказательной способностью в отношении развития СД 2 по сравнению с другими изученными нами антропометрическими показателями. Безусловно, показатель ОТ свидетельствует о наличии висцерального ожирения. Но увеличение талии может происходить не только за счет висцерального жира, но и за счет подкожной локализации жировой ткани. Такой вид ожирения всегда сочетается с увеличением ОБ и называется глютео- феморальным. Пациенты с такой локализацией подкожно- жировой клетчатки чаще всего составляют группу «метаболически здорового» ожирения и характеризуются, как правило, равномерным увеличением подкожного жира на талии и бедрах. В связи с этим изолированное применение показателя ОТ является малоинформативным, а индексы ОТ/рост и ОТ/ОБ в большей степени характеризуют именно висцеральное ожирение.
Заключение
Полученные результаты дают основание предположить, что антропометрический показатель соотношение ОТ/рост наряду с общепринятым ОТ/ОБ может быть использован в качестве предиктора при разработке прогностических моделей риска перехода в СД 2 у лиц с избытком массы тела или ожирением.
Раскрытие интересов. Авторы декларируют отсутствие явных и потенциальных конфликтов интересов, связанных с публикацией настоящей статьи.
Disclosure of interest. The authors declare that they have no competing interests.
Вклад авторов. Авторы декларируют соответствие своего авторства международным критериям ICMJE. Все авторы в равной степени участвовали в подготовке публикации: разработка концепции статьи, получение и анализ фактических данных, написание и редактирование текста статьи, проверка и утверждение текста статьи.
Authors’ contribution. The authors declare the compliance of their authorship according to the international ICMJE criteria. All authors made a substantial contribution to the conception of the work, acquisition, analysis, interpretation of data for the work, drafting and revising the work, final approval of the version to be published and agree to be accountable for all aspects of the work.
Источник финансирования. Авторы декларируют отсутствие внешнего финансирования для проведения исследования и публикации статьи.
Funding source. The authors declare that there is no external funding for the exploration and analysis work.
Информированное согласие на публикацию. Пациенты подписали форму добровольного информированного согласия на публикацию медицинской информации.
Consent for publication. Written consent was obtained from the patients for publication of relevant medical information and all of accompanying images within the manuscript.
Соответствие принципам этики. Протокол исследования был одобрен локальным этическим комитетом ФГБОУ ВО «Казанский ГМУ», выписка из протокола заседания №10 от 22 декабря 2015 г. Одобрение и процедуру проведения протокола получали по принципам Хельсинкской конвенции.
Ethics approval. The study was approved by the local ethics committee of Kazan State Medical University (protocol №10 dated 22.12.2015). The approval and procedure for the protocol were obtained in accordance with the principles of the Helsinki Convention.
About the authors
Farida V. Valeeva
Kazan State Medical University
Email: kamilya_khasanova@mail.ru
ORCID iD: 0000-0001-6000-8002
D. Sci. (Med.), Prof.
Russian Federation, KazanKamilya B. Khasanova
Kazan State Medical University
Author for correspondence.
Email: kamilya_khasanova@mail.ru
ORCID iD: 0000-0003-1825-487X
Assistant
Russian Federation, KazanTatyana S. Yilmaz
Kazan State Medical University
Email: kamilya_khasanova@mail.ru
ORCID iD: 0000-0002-0003-1283
Cand. Sci. (Med.)
Russian Federation, KazanRezida G. Mansurova
City polyclinic №18
Email: kamilya_khasanova@mail.ru
Chief doctor
Russian Federation, KazanReferences
Supplementary files




