Comparison of the forms of carbohydrate metabolism in children with cystic fibrosis: A review
- Authors: Liabina N.V.1, Tikhonovskiy P.A.1, Simonova O.I.1,2,3, Bystrova S.G.1,2, Sokolov I.1, Shirokova I.V.1
-
Affiliations:
- National Medical Research Center for Children's Health
- Sechenov First Moscow State Medical University (Sechenov University)
- Morozov Children's City Clinical Hospital
- Issue: Vol 26, No 4 (2024): Эндокринология
- Pages: 246-250
- Section: Articles
- Published: 20.05.2024
- URL: https://consilium.orscience.ru/2075-1753/article/view/629016
- DOI: https://doi.org/10.26442/20751753.2024.4.202761
- ID: 629016
Cite item
Full Text
Abstract
Background. Forms of glucose metabolism disorders are one of the key processes in the course of cystic fibrosis (CF) and can be variable, starting with impaired glucose tolerance (IGT) and ending with cystic fibrosis-related diabetes (CFRD), which is the most dangerous complication, worsening the prognosis and outcome of disease. Decreased lung function and poor nutritional status are the leading causes of morbidity and mortality in patients with carbohydrate metabolism disorders (CMD).
Materials and methods. The study included 85 children with CF. Patients underwent measurement of anthropometric parameters (height, weight) to assess nutritional status (NS), and spirometry test was used to assess pulmonary function (PF). Of these, 78 patients were assessed with an oral glucose tolerance test (OGTT) at 5 points (0 minutes, 30 minutes, 60 minutes, 90 minutes, 120 minutes) assessing the concentration of venous plasma glucose in mmol/l. The results of the OGTT were assessed in accordance with the diagnostic criteria for CFRD.
Results. According to the Kruskal–Wallis test, the maximum volumetric flow rate during exhalation of 75% FVC (FEF 75) differed between different forms of carbohydrate metabolism (p=0.031). Other indicators of respiratory function didn’t have any significant differences. Using the Mann–Whitney test, pairwise comparisons were performed, so the FEF 75 indicator was statistically significantly lower in the group of children with CFRD than in other groups. There were no statistically significant differences when assessing Z-scores weight/age (WAZ) and height/age (HAZ) depending on the forms of carbohydrate metabolism. However, BMI/age Z-scores (BAZ) were statistically significantly lower in groups of children with CFRD than in other forms of carbohydrate metabolism.
Conclusion. Children with CF in the period of prediabetes don’t have significant impairments in lung function and NS. These disorders are typical for children with CFRD.
Full Text
Введение
Муковисцидоз (МВ) – наследственное аутосомно-рецессивное заболевание, характеризующееся мутацией в гене трансмембранного регулятора МВ, приводящее к дисфункции хлорного канала и, как следствие, к увеличению вязкости секретов всех экзокринных желез. Заболевание поражает весь организм, но больше страдают поджелудочная железа и дыхательная система. МВ относится к орфанным заболеваниям и считается одним из самых частых среди них [1, 2].
Поражение поджелудочной железы при МВ может приводить к развитию нарушений углеводного обмена (НУО). Одним из самых грозных осложнений является развитие МВ-ассоциированного сахарного диабета (МЗСД) [3, 4]. Традиционно принято считать, что снижение нутритивного статуса (НС) и ухудшение функции легких приводят к МЗСД, что является причиной ранней смертности и ухудшает качество жизни пациентов [4–7]. До 30 лет доживают менее 25% пациентов с МЗСД по сравнению с 60% пациентов с МВ без НУО [8, 9]. С возрастом распространенность МЗСД возрастает: у 2–5% детей до 10 лет, у 20% подростков и 40–50% взрослых с МВ развивается МЗСД [10–13]. Отмечено, что в среднем частота МЗСД увеличивается на 10% каждое десятилетие [11, 13]. Особо тревожным фактом является тот, что это состояние может развиться в любом возрасте [6, 8, 11, 14]. В связи со сказанным целесообразными являются изучение вопроса о ранней диагностике НУО у пациентов с МВ и определение основных предикторов, способствующих раннему выявлению предиабета и МЗСД.
Отмечено, что у пациентов без МЗСД уровень объема форсированного выдоха за первую секунду (ОФВ1) достоверно выше, чем у пациентов с МЗСД [3, 11, 15]. Одним из объяснений этого факта является то, что гипергликемия способствует росту бактериальных и других патогенов и в свою очередь может приводить к развитию воспалительного процесса в легких [15, 16]. Более того, гипергликемия приводит к развитию провоспалительного состояния, запуская процессы окислительного стресса, а также процессы неферментативного гликозилирования белков и липидов с образованием конечных продуктов гликозилирования (AGEs), которые обладают повреждающим действием на легочную ткань [3, 15, 17]. Показано, что у пациентов с МЗСД на 10% выше уровень AGEs, чем у лиц без диабета. Выявлена отрицательная корреляция у пациентов с МВ между уровнями AGEs и функциональными параметрами легких (ОФВ1, форсированная жизненная емкость легких – ФЖЕЛ) [15, 18]. Таким образом, указанные факторы способствуют запуску воспалительного процесса, повреждению тканей легкого, что приводит к снижению функции легких. Отмечено, что показатель ОФВ1 начинает снижаться за 2–4 года до постановки МЗСД [2, 3, 15]. Доказано, что снижение функции легких является ведущей причиной заболеваемости и смертности пациентов с МЗСД [5, 19, 20]. Следует отметить, что макро- и микрососудистые осложнения, в отличие от других типов СД, при МЗСД встречаются редко и не являются основной причиной смерти [5, 20]. Поэтому у пациентов с МВ важно проводить тщательный мониторинг функциональных параметров легких.
НС у пациентов с МЗСД также имеет свои особенности. Среди механизмов развития МЗСД особую роль играют уменьшение количества и дисфункция β-клеток поджелудочной железы, которые секретируют инсулин [8, 15, 21]. Инсулин является анаболическим агентом, а его снижение способствует усилению катаболических процессов, в частности приводит к повышенному распаду белков и жиров, что обусловливает снижение массы тела и, как следствие, снижение индекса массы тела (ИМТ) [15, 21]. Кроме того, хронический воспалительный процесс в дыхательных путях еще больше усиливает катаболические процессы. Показано, что лица с МЗСД имеют более низкий перцентиль среднего роста к возрасту и массы тела к возрасту, а также более низкий ИМТ, чем лица без МЗСД [21, 22]. При этом, по некоторым данным, ИМТ снижается за 2–4 года до постановки диагноза МЗСД [3, 21–24]. Недостаточная масса тела при МВ ассоциирована со снижением выживаемости, поэтому достижение и поддержание нормальной массы тела – основная цель в лечении МВ [4, 21]. Для этого большинству пациентов с МВ требуется высококалорийное питание. Более того, у пациентов с НУО должны применяться продукты с низким гликемическим индексом (с ограничением легкоусвояемых углеводов, однако без ограничения общего суточного потребления углеводов) [6]. Диетотерапия является важным компонентом в лечении и направлена на поддержание адекватного НС и нормогликемии [21, 25]. Кроме того, описано, что применение инсулинотерапии в лечении МЗСД приводит к улучшению как легочной функции, так и НС [4, 6, 14].
В последнее время активно изучается период предиабета, который может предшествовать развитию МЗСД [26]. Накоплен небольшой опыт в отношении изменений легочной функции и НС в периоде предиабета. Получены неоднозначные данные, свидетельствующие об изменении ОФВ1 и ИМТ. В одних исследованиях показано, что в предиабетический период уже отмечается снижение ОФВ1 и ИМТ [19, 27], в других исследованиях данных за изменения ОФВ1 и ИМТ не получено [19]. Очевидно, что своевременное выявление НУО в период предиабета у детей с МВ является трудной и малоизученной задачей. Однако период предиабета у больных МВ – не менее актуальная тема, чем МЗСД. Поэтому диагностировать НУО необходимо как можно раньше, еще в период предиабета.
Материалы и методы
В исследование включены 85 детей с МВ. Медиана возраста – 13,32 года [10, 44; 16, 16]. Мальчики составили 36,47% (n=31), девочки – 63,53% (n=54).
Всем детям проводилось измерение антропометрических показателей (рост, масса тела), с расчетом ИМТ, а также Z-score следующих показателей: рост/возраст (HAZ); масса тела/возраст (WAZ); ИМТ/возраст (BAZ) в компьютерной программе WHO-AntroPlus.
У 78 наблюдаемых детей для оценки НУО применялся пероральный глюкозотолерантный тест (ПГТТ) в 5 точках (0, 30, 60, 90, 120 мин) с оценкой концентрации глюкозы венозной плазмы в ммоль/л. Результаты ПГТТ оценивались в соответствии с диагностическими критериями МЗСД, которые разработаны специально для пациентов с МВ [14].
В зависимости от форм углеводного обмена все пациенты подразделены на 5 групп:
- 1-я группа – пациенты без НУО;
- 2-я группа – пациенты с неопределенной гликемией (INDET), у которых хотя бы в одной из промежуточных точек измерения (30, 60, 90 мин) в ходе ПГТТ отмечена гликемия выше 11,1 ммоль/л;
- 3-я группа – пациенты с нарушением толерантности к глюкозе (НТГ), у которых уровень гликемии натощак <7,0 ммоль/л, а на 120-й минуте ≥7,8 ммоль/л, но <11,1 ммоль/л по результатам ПГТТ;
- 4-я группа – пациенты с МЗСД без инсулинотерапии, у которых уровень гликемии натощак ≥7,0 ммоль/л или на 120-й минуте ≥11,1 ммоль/л;
- 5-я группа – пациенты с МЗСД, получающие инсулинотерапию на момент исследования.
Функция внешнего дыхания (ФВД) выполнялась на аппарате MasterScreen 3.3. Оценивались такие показатели, как ФЖЕЛ, ОФВ1, индекс Генслера (ОФВ1/ФЖЕЛ), пиковая скорость выдоха (ПСВ), максимальная скорость на уровне 25% выдохнутой ФЖЕЛ, или 75% оставшейся ФЖЕЛ (МОС25), максимальная скорость на уровне 50% выдохнутой ФЖЕЛ (МОС50), максимальная скорость на уровне 75% выдохнутой ФЖЕЛ, или 25% оставшейся ФЖЕЛ (МОС75) в % от должного. Одному ребенку 5 лет из-за возраста определение ФВД не проводилось.
Статистический анализ данных проводился с использованием программ IBM SPSS Statistics 26 и Microsoft Excel 2010. Для описания качественных данных вычислялись абсолютные (n) и относительные (%) значения. Для оценки гипотезы о нормальном распределении использовался тест Колмогорова–Смирнова. Учитывая, что распределение изучаемых переменных отклонялось от нормального, результаты представлены в виде медианы (Me) вместе с межквартильным интервалом [Q1; Q3]. Различия между независимыми группами определялись с использованием непараметрического критерия Краскела–Уоллиса. При обнаружении статистически значимых различий проводились парные сравнения с использованием непараметрического U-критерия Манна–Уитни. Уровень значимости составлял p<0,05.
Цель исследования – сравнить клинико-функциональные особенности у детей с МВ при разных формах углеводного обмена.
Результаты
Из 85 пациентов с МВ у 5 ранее установлен МЗСД, и они получали инсулинотерапию на момент исследования. У 2 детей с учетом неоднократного выявления гликемии натощак выше 7 ммоль/л установлен диагноз МЗСД. Остальным 78 детям для выявления НУО согласно «золотому стандарту» проведен ПГТТ. Число детей представлено на рис. 1.
Рис. 1. Характеристика наблюдаемых детей с МВ в зависимости от НУО.
Отмечено, что в среднем НУО встречаются с 10 лет, так, на рис. 2 представлена медиана возраста по группам.
Рис. 2. Медиана возраста детей с МВ по группам различных форм углеводного обмена.
Для оценки респираторной функции легких у 84 наблюдаемых детей с МВ исследована ФВД с помощью спирометрии (СПМ), и оценены ее результаты при различных формах углеводного обмена (табл. 1).
Таблица 1. Показатели ФВД у детей с различными формами углеводного обмена при МВ
Показатели ФВД | 1-я группа (n=37) | 2-я группа (n=12) | 3-я группа (n=20) | 4+5-я группы (n=10+5) | р |
Без НУО | INDET | НТГ | МЗСД без и с инсулинотерапией | ||
Ме [Q1; Q3] (25 и 75-й перцентили) | |||||
ФЖЕЛ%Д | 87 [72; 102] | 89 [68; 96] | 0,358 | ||
ОФВ1%Д | 89 [65; 100] | 0,252 | |||
ОФВ1/ФЖЕЛ%Д | 99 [86;105] | 0,271 | |||
ПСВ%Д | 88 [78; 99] | 85 [60; 99] | 0,326 | ||
МОС25%Д | 78 [60; 97] | 0,419 | |||
МОС50%Д | 77 [48; 94] | 86 [46; 92] | 0,262 | ||
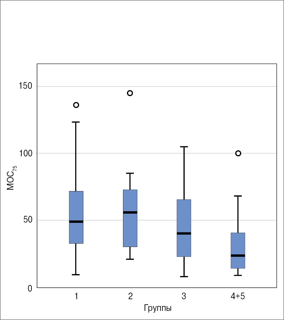
МОС75%Д | 0,031 | ||||
Примечание. ФЖЕЛ%Д – форсированная жизненная емкость легких, ОФВ1%Д – уровень объема форсированного выдоха за первую секунду, ОФВ1/ФЖЕЛ%Д – индекс Генслера, ПСВ%Д – пиковая скорость выдоха, МОС(25%, 50%, 75%)Д – максимальная объемная скорость при ФЖЕЛ%. | |||||
Как видно из табл. 1, некоторые показатели ФВД (ФЖЕЛ, ОФВ1, ОФВ1/ФЖЕЛ, ПСВ, МОС25, МОС50) в зависимости от форм углеводного обмена согласно критерию Краскела–Уоллиса статистически не имели значимых различий (p=0,358, 0,252, 0,271, 0,326, 0,419 и 0,262 соответственно).
Однако установлены статистически значимые различия в максимальной объемной скорости при выдохе 75% ФЖЕЛ при разных формах углеводного обмена (p=0,031); см. табл. 1.
Применяя критерии Манна–Уитни, выявили парные сравнения, так, максимальный объем скорости при выдохе 75% ФЖЕЛ оказался статистически значимо ниже в группе детей с МЗСД (4+5-я группа), чем во 1 и 2-й группах (р4+5–1=0,007 и р4+5–2=0,018 соответственно). При этом статистически значимых различий этого показателя не получено в 4+5 и 3-й группах (р4+5–3=0,185), 3 и 1-й группах (р3–1=0,188), 3 и 2-й группах (р3–2=0,215), 1 и 2-й группах (р1–2=0,802); рис.3.
Рис. 3. Показатель МОС75 у детей с МВ в зависимости от форм углеводного обмена (1-я группа – без НУО, 2-я группа – INDET, 3-я группа – НТГ, 4+5-я группа – МЗСД без и на инсулинотерапии).
Оценены антропометрические индексы детей с различными формами углеводного обмена (табл. 2).
Таблица 2. Антропометрические индексы детей с различными формами углеводного обмена при МВ
Z-scores | 1-я группа | 2-я группа | 3-я группа | 4-я группа | 5-я группа | p |
Ме [Q1; Q3] (25 и 75-й перцентили) | ||||||
WAZ | -1,16 [-2,27; -0,2] | -0,08 [-1,67; 0,01] | 0,12 [-0,68; 0,65] | -1,07 [-1,07; -1,07] | – | 0,689 |
HAZ | -0,6 [-1,29; 0,17] | 0,17 [-1,04; 0,8] | -0,28 [-0,93; 0,32] | -0,59 [-1,04; -0,18] | -0,73 [-1,06; -0,25] | 0,581 |
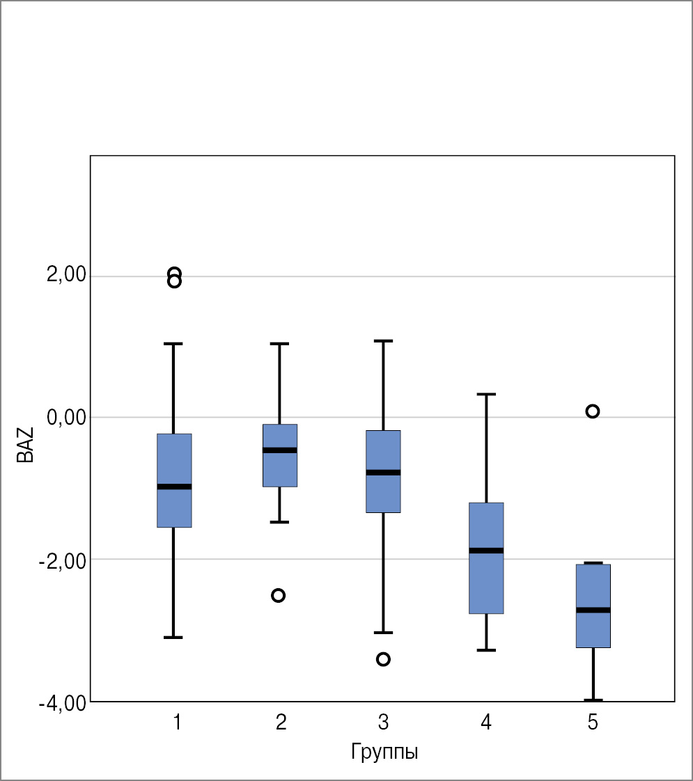
BAZ | -0,97 [-1,57; -0,23] | -0,46 [-0,95; -0,12] | -0,78 [-1,35; -0,17] | -1,88 [-2,65; -1,23] | -2,4 [-3,05; -1,52] | 0,025 |
Как видно из табл. 2, согласно критерию Краскела–Уоллиса статистически значимых различий Z-scores масса/возраст (WAZ) и рост/возраст (HAZ) в зависимости от форм углеводного обмена не получено (p=0,689 и 0,581 соответственно).
Однако установлены статистически значимые различия Z-score ИМТ/возраст (BAZ) при разных формах углеводного обмена (p=0,025); см. табл. 2.
Применяя критерии Манна–Уитни, выявили парные сравнения: Z-scores ИМТ/возраст (BAZ) оказались статистически значимо ниже в 5-й группе детей, чем в 1, 2 и 3-й группах (р5–1=0,046, р5–2=0,014 и р5–3=0,039 соответственно); в 4-й группе ниже, чем в 1, 2 и 3-й группах (р4–1=0,038, р4–2=0,011 и р4–3=0,033 соответственно). При этом статистически значимых различий этого показателя не получено в 5 и 4-й группах (р5–4=0,703), 1 и 3-й группах (р1–3=0,775), 1 и 2-й группах (р1–2=0,285), 3 и 2-й группах (р3–2=0,443); рис. 4. Показатели Z-scores ИМТ/возраст (BAZ) детей с МЗСД, не получающих терапию инсулином (4-я группа), выше, чем у детей на инсулинотерапии (5-я группа), так как диагноз СД установлен недавно. К тому же медиана возраста в 5-й группе (Ме=17,46) оказалась больше, чем в 4-й группе, что предполагает всегда более тяжелое течение МВ с возрастом, частые обострения основного заболевания на фоне сниженного НС.
Рис. 4. Z-score ИМТ/возраст (BAZ) у детей с МВ при различных формах углеводного обмена (1-я группа – без НУО, 2-я группа – INDET, 3-я группа – НТГ, 4-я группа – МЗСД без инсулинотерапии, 5-я группа – МЗСД на инсулинотерапии).
Заключение
В нашем исследовании у детей в период МЗСД показатель СПМ МОС75%Д оказался снижен, что свидетельствует об обструкции на уровне мелких бронхов. Также белково-энергетическая недостаточность (снижение показателя Z-score ИМТ/возраст – BAZ) являлась характерной для наблюдаемых пациентов в периоде МЗСД. Однако показатели ФВД и НС в периоде предиабета значимо не отличались при разных формах НУО.
Таким образом, согласно нашему исследованию только при МЗСД ухудшаются НС и ФВД, что не отмечалось у детей в предиабете. Мониторинг показателей СПМ и антропометрии целесообразно проводить для контроля состояния пациента, своевременной коррекции базисной терапии и ранней профилактики осложнений.
Раскрытие интересов. Авторы декларируют отсутствие явных и потенциальных конфликтов интересов, связанных с публикацией настоящей статьи.
Disclosure of interest. The authors declare that they have no competing interests.
Вклад авторов. Авторы декларируют соответствие своего авторства международным критериям ICMJE. Все авторы в равной степени участвовали в подготовке публикации: разработка концепции статьи, получение и анализ фактических данных, написание и редактирование текста статьи, проверка и утверждение текста статьи.
Authors’ contribution. The authors declare the compliance of their authorship according to the international ICMJE criteria. All authors made a substantial contribution to the conception of the work, acquisition, analysis, interpretation of data for the work, drafting and revising the work, final approval of the version to be published and agree to be accountable for all aspects of the work.
Источник финансирования. Авторы декларируют отсутствие внешнего финансирования для проведения исследования и публикации статьи.
Funding source. The authors declare that there is no external funding for the exploration and analysis work.
Информированное согласие на публикацию. Авторы получили письменное согласие законных представителей пациентов на анализ и публикацию медицинских данных.
Consent for publication. The authors obtained written consent from the patient’s legal representatives to analyze and publish medical data.
About the authors
Nadezhda V. Liabina
National Medical Research Center for Children's Health
Author for correspondence.
Email: marusya.1010@mail.ru
Pediatrician
Russian Federation, MoscowPavel A. Tikhonovskiy
National Medical Research Center for Children's Health
Email: marusya.1010@mail.ru
Medical Resident
Russian Federation, MoscowOlga I. Simonova
National Medical Research Center for Children's Health; Sechenov First Moscow State Medical University (Sechenov University); Morozov Children's City Clinical Hospital
Email: oisimonova@mail.ru
D. Sci. (Med.)
Russian Federation, Moscow; Moscow; MoscowSerafima G. Bystrova
National Medical Research Center for Children's Health; Sechenov First Moscow State Medical University (Sechenov University)
Email: marusya.1010@mail.ru
Pediatrician, National Medical Research Center for Children's Health, Graduate Student, Sechenov First Moscow State Medical University (Sechenov University)
Russian Federation, Moscow; MoscowIna Sokolov
National Medical Research Center for Children's Health
Email: marusya.1010@mail.ru
Cand. Sci. (Med.)
Russian Federation, MoscowIrina V. Shirokova
National Medical Research Center for Children's Health
Email: marusya.1010@mail.ru
Cand. Sci. (Med.)
Russian Federation, MoscowReferences
- Каширская Н.Ю., Капранов Н.И., Кондратьева Е.И. (ред.) Муковисцидоз. 2-е изд., перераб. и доп. М.: Медпрактика, 2021 [Kashirskaia NIu, Kapranov NI, Kondrat’ieva EI (red.) Mukovistsidoz. 2-e izd., pererab. i dop. Moscow: Medpraktika, 2021 (in Russian)].
- Клинические рекомендации. Кистозный фиброз (муковисцидоз) 2021-2022-2023. Разработчик: Союз педиатров России, Ассоциация медицинских генетиков; Российское Респираторное общество; Российское трансплантологическое общество, 2021 [Klinicheskie rekomendatsii. Kistoznyi fibroz (mukovistsidoz) 2021-2022-2023. Razrabotchik: Soiuz pediatrov Rossii, Assotsiatsiia meditsinskikh genetikov; Rossiiskoie Respiratornoie obshchestvo; Rossiiskoie transplantologicheskoiye obshchestvo, 2021 (in Russian)].
- Brennan AL, Beynon J. Clinical updates in cystic fibrosis-related diabetes. Semin Respir Crit Care Med. 2015;36(2):236-50. doi: 10.1055/s-0035-1547319
- Moheet A, Moran A. New Concepts in the Pathogenesis of Cystic Fibrosis-Related Diabetes. J Clin Endocrinol Metab. 2022;107(6):1503-9. doi: 10.1210/clinem/dgac020
- Frost F, Walshaw MJ, Nazareth D. Cystic fibrosis-related diabetes: an update. QJM. 2020;hcaa256. doi: 10.1093/qjmed/hcaa256
- Moran A, Pillay K, Becker D, et al. ISPAD Clinical Practice Consensus Guidelines 2018: management of cystic fibrosis-related diabetes in children and adolescents. Pediatr Diabetes. 2018;19(Suppl. 27):64-74.
- Lewis C, Blackman SM, Nelson A, et al. Diabetes-related mortality in adults with cystic fibrosis. Role of genotype and sex. Am J Respir Crit Care Med. 2015;191(2):194-200. doi: 10.1164/rccm.201403-0576OC
- Kayani K, Mohammed R, Mohiaddin H. Cystic fibrosis-related diabetes. Front Endocrinol (Lausanne). 2018;9:20. doi: 10.3389/fendo.2018.00020
- Patel M, McCracken C, Daley T, et al. Trajectories of oral glucose tolerance testing in cystic fibrosis. Pediatr Pulmonol. 2021;56:901-9. doi: 10.1002/ppul.25207
- Ticona JH, Lapinel N, Wang J. Future Comorbidities in an Aging Cystic Fibrosis Population. Life (Basel). 2023;13(6):1305. doi: 10.3390/life13061305
- Olesen HV, Drevinek P, Gulmans VA, et al. Cystic fibrosis related diabetes in Europe: Prevalence, risk factors and outcome. J Cyst Fibros. 2020;19(2):321-7. doi: 10.1016/j.jcf.2019.10.009
- Doan LV, Madison LD. Cystic Fibrosis-Related Diabetes. 2023 Aug 14. In: StatPearls. Treasure Island (FL): StatPearls Publishing; 2024 Jan.
- Lurquin F, Buysschaert M, Preumont V. Advances in cystic fibrosis-related diabetes: Current status and future directions. Diabetes Metab Syndr. 2023;17(11):102899. doi: 10.1016/j.dsx.2023.102899
- Moran A, Brunzell C, Cohen RC, et al. Clinical care guidelines for cystic fibrosis-related diabetes: A position statement of the American Diabetes Association and a clinical practice guideline of the Cystic Fibrosis Foundation, endorsed by the Pediatric Endocrine Society. Diabetes Care. 2010;33(12):2697-708. DOI:102337/dc10-1768
- Sandouk Z, Khan F, Khare S, Moran A. Cystic fibrosis related diabetes (CFRD) prognosis. J34Clin Transl Endocrinol. 2021;26:100278. doi: 10.1016/j.jcte.2021.100278
- Sidhaye A, Goldswieg B, Kaminski B, et al. Endocrine complications after solid-organ transplant in cystic fibrosis. J Cyst Fibros. 2019;18:S111-9. doi: 10.1016/j.jcf.2019.08.019
- Ntimbane T, Krishnamoorthy P, Huot C, et al. Oxidative stress and cystic fibrosis-related diabetes: a pilot study in children. J Cyst Fibros. 2008;7(5):373-84. doi: 10.1016/j.jcf.2008.01.004
- Hull RL, Gibson RL, McNamara S, et al. Islet Interleukin-1β Immunoreactivity Is an Early Feature of Cystic Fibrosis That May Contribute to β-Cell Failure. Diabetes Care. 2018;41(4):823-30. doi: 10.2337/dc17-1387
- Iwanicki C, Logomarsino JV. Impaired glucose tolerance, body mass index and respiratory function in patients with cystic fibrosis: A systematic review. Clin Respir J. 2019;13(6):341-54. doi: 10.1111/crj.13019
- Granados A, Chan CL, Ode KL, et al. Cystic fibrosis related diabetes: Pathophysiology, screening and diagnosis. J Cyst Fibros. 2019;18 Suppl. 2:S3-9. doi: 10.1016/j.jcf.2019.08.016
- Kaminski BA, Goldsweig BK, Sidhaye A, et al. Cystic fibrosis related diabetes: Nutrition and growth considerations. J Cyst Fibros. 2019;18 Suppl. 2:S32-7. doi: 10.1016/j.jcf.2019.08.011
- Marshall BC, Butler SM, Stoddard M, et al. Epidemiology of cystic fibrosis-related diabetes. J Pediatr 2005;146:681-7. doi: 10.1016/j.jpeds.2004.12.039
- Nielsen BU, Faurholt-Jepsen D, Oturai PS, et al. Associations Between Glucose Tolerance, Insulin Secretion, Muscle and Fat Mass in Cystic Fibrosis. Clinical Medicine Insights: Endocrinology and Diabetes. 2021;14. doi: 10.1177/11795514211038259
- White H, Pollard K, Etherington C, et al. Nutritional decline in cystic fibrosis related diabetes: the effect of intensive nutritional intervention. J Cyst Fibros. 2009;8:179-85. doi: 10.1016/j.jcf.2008.12.002
- Birch L, Lithander FE, Hewer SL, et al. Dietary interventions for managing glucose abnormalities in cystic fibrosis: a systematic review protocol. Syst Rev. 2018;7(1):98. doi: 10.1186/s13643-018-0757-y
- Moheet A, Moran A. CF-related diabetes: containing the metabolic miscreant of cystic fibrosis. Pediatr Pulmonol. 2017;52:S37-43. doi: 10.1002/ppul.23762
- Mozzillo E, Franceschi R, Piona C, et al. Diabetes and Prediabetes in Children With Cystic Fibrosis: A Systematic Review of the Literature and Recommendations of the Italian Society for Pediatric Endocrinology and Diabetes (ISPED). Front Endocrinol (Lausanne). 2021;12:673539. doi: 10.3389/fendo.2021.673539
Supplementary files







