Особенности ведения пациентов после двусторонней тонзиллэктомии
- Авторы: Толданов А.В.1, Никифорова Г.Н.1, Свистушкин М.В.1, Куликова Е.Д.2, Гурылева А.В.2, Мачихин А.С.2, Свистушкин В.М.1
-
Учреждения:
- ФГАОУ ВО «Первый Московский государственный медицинский университет им. И.М. Сеченова» Минздрава России (Сеченовский Университет)
- ФГБУН «Научно-технологический центр уникального приборостроения Российской академии наук»
- Выпуск: Том 27, № 9 (2025): Оториноларингология и пульмонология
- Страницы: 561-569
- Раздел: Статьи
- Статья опубликована: 17.11.2025
- URL: https://consilium.orscience.ru/2075-1753/article/view/696852
- DOI: https://doi.org/10.26442/20751753.2025.9.203486
- ID: 696852
Цитировать
Полный текст
Аннотация
Обоснование. Хронический тонзиллит (ХТ) – хроническое заболевание с местными проявлениями в виде стойкой воспалительной реакции небных миндалин, которое представляет собой достаточно распространенную патологию в человеческой популяции. В ряде случаев таким пациентам показано и проводится хирургическое вмешательство – двусторонняя тонзиллэктомия (ДТ), наиболее грозным осложнением которой является кровотечение из миндаликовых ниш. Современные мероприятия, направленные на профилактику и остановку кровотечения, к сожалению, не всегда адекватно решают данную проблему. Тема контроля послеоперационного течения и ускорения регенеративных процессов после удаления небных миндалин остается актуальной.
Цель. Оценить влияние на течение раневого процесса после ДТ применения топического гемостатического препарата комплексного действия на основе, в том числе, результатов цифровых оптических методов оценки кровенаполнения.
Материалы и методы. Исследование проводили в Клинике болезней уха, горла и носа ФГАОУ ВО «Первый МГМУ им. И.М. Сеченова» (Сеченовский Университет). В исследование включены 140 (100%) пациентов в возрасте 18–66 лет, из них 60 (42%) – мужчины, 80 (57%) – женщины, которым по медицинским показаниям выполнена ДТ. В качестве комплексного гемостатического препарата использовали 1% водный раствор неполной серебряной соли полиакриловой кислоты, содержащий наночастицы серебра. Все наблюдаемые пациенты разделены на 3 группы: группу 1 или контрольную, в которой препарат не применяли, группу 2 с местным применением препарата интраоперационно, группу 3 с местным применением препарата интраоперационно и в послеоперационный период. Всем больным проводили оценку боли по Визуальной аналоговой шкале лицевой боли по Вонгу–Бейкеру, цитологическое исследование с поверхности миндаликовой ниши, цифровую визуальную оценку состояния послеоперационного поля. В качестве цифрового оптического метода оценки кровенаполнения применяли бесконтактную фотоплетизмографию.
Результаты. В ходе исследования показаны уменьшение болевых ощущений в глотке, повышение фагоцитоза бактерий, ускорение отхождения фибрина, появления фибробластов и перехода лейкоцитарной реакции к полиморфноклеточной в обеих группах с местным применением исследуемого препарата. Степень выраженности указанных эффектов была выше у пациентов, которые применяли интраоперационно и в послеоперационный период 1% водный раствор неполной серебряной соли полиакриловой кислоты, содержащий наночастицы серебра. Продемонстрирована возможность проведения неинвазивной количественной оценки кровенаполнения тканей слизистой оболочки полости рта, труднодоступных для традиционных методов визуализации, без причинения дискомфорта пациенту. Предложенный подход может дополнить существующие методы ведения пациентов после ДТ в клинической практике.
Заключение. В клинических условиях продемонстрированы эффективность и безопасность нового комплексного подхода к ведению пациентов после ДТ, основанного на применении гемостатического препарата 1% водного раствора неполной серебряной соли полиакриловой кислоты, содержащего наночастицы серебра, для профилактики кровотечений и ускорения регенерации, а также метода фотоплетизмографии для неинвазивной количественной оценки кровенаполнения миндаликовых ниш в послеоперационном периоде.
Полный текст
Введение
Хронический тонзиллит (ХТ) – это инфекционно-аллергическое заболевание с местными проявлениями в виде стойкой воспалительной реакции небных миндалин, приводящее к угнетению неспецифических факторов естественной резистентности организма, нарушению гуморального и клеточного звеньев иммунитета с общей токсико-аллергической реакцией и периодическими обострениями в виде ангин [1]. ХТ является одним из наиболее распространенных заболеваний ЛОР-органов. В разных странах, согласно данным эпидемиологических исследований, заболеваемость ХТ составляет 5–40% [2–6]. В нашей работе мы использовали классификацию, предложенную Б.С. Преображенским и В.Т. Пальчуном, в которой рассматриваются простая, токсико-аллергическая форма ХТ 1-й степени (ТАФ I) и токсико-аллергическая форма ХТ 2-й степени (ТАФ II). Так, ТАФ II характеризуется стойкими функциональными нарушениями в работе органов, которые проявляются как в момент обострения ХТ, так и вне его. Кроме того, для ТАФ II характерно наличие эпизодов паратонзиллярного абсцесса в анамнезе и/или сопутствующих сопряженных заболеваний (ревматизма, приобретенных пороков сердца, артрита и т.д.). При ТАФ II рекомендуется двусторонняя тонзиллэктомия (ДТ), а в послеоперационном периоде таким больным необходим контроль раневого процесса в глотке до 10 дней [7].
Одно из самых распространенных хирургических вмешательств в мире – ДТ, которое впервые упоминают в документах, датируемых более 2 тыс. лет назад [8, 9]. На долю ДТ приходится 20–40% всех хирургических вмешательств на ЛОР-органах. Одним из основных осложнений, развивающихся как во время операции, так и после нее, является кровотечение, которое происходит в 1,5–5% случаев. В структуре смертности, связанной с удалением небных миндалин, кровотечениям также принадлежит ведущее место [10, 11]. A. Stevenson и соавт. (2012 г.) проанализировали данные исходов после ДТ за 26 лет (в 1984–2010 гг. в г. Дэйтоне, США) и выявили, что эпизоды кровотечения после ДТ отмечены у 33,7% больных, а послеоперационное кровотечение стало наиболее частой причиной смерти пациентов – в 54,2% случаев [12].
Кровотечения после ДТ подразделяют на первичные, которые возникают во время нее, и вторичные, появляющиеся в послеоперационном периоде. Вторичные кровотечения могут быть ранними (в течение 24 ч) и поздними (более чем через 24 ч после операции). Если сравнивать распространенность первичных (ранних) и вторичных (поздних) кровотечений, то, по результатам большинства исследований, вторичные отмечаются более часто. По мнению R. Howells и соавт., поздние кровотечения обычно наблюдаются в период между 5 и 10-м днями после операции [13]. Считается, что послеоперационное кровотечение, возникающее в первые часы после операции, происходит в результате неадекватной хирургической техники и гемостаза, в то время как позднее послеоперационное кровотечение – вследствие отхождения фибриновых пленок, что обусловлено не только хирургической техникой удаления небных миндалин, но и рядом предрасполагающих факторов, зависящих, в том числе, и от самого пациента. Необходимо отметить, что инфицирование области миндаликовой ниши в послеоперационном периоде также может приводить к изъязвлению стенки сосуда, ее эрозии и способствовать возникновению поздних кровотечений [13–21].
В настоящее время, по данным литературы, описано множество способов остановки кровотечения в ходе ДТ, а также методов ускорения регенеративного процесса в послеоперационном периоде. Среди гемостатических мероприятий наиболее распространены механические методы остановки кровотечения, такие как тампонада ниш марлевыми тампонами или удаленной миндалиной, сшивание передних и задних небных дужек, коагуляция сосудов, обработка ниш излучением хирургических лазеров, лигирование сосудов, укладка на раневую поверхность небных ниш гемостатической салфетки на основе солей железа и обогащенной тромбоцитами плазмы. Применяют различные медикаментозные средства местного и общего типа действия, среди которых системные гемостатики – Дицинон, аминокапроновая кислота, Андроксон, аминометилбензойная кислота, перекись водорода, апротинин, транексамовая кислота, применяются инфильтрация ниши эпсилон-аминокапроновой кислотой, лиофилизированая викасольная плазма, пасты на основе субгаллата висмута, тромбопластин, гемостатическая губка, промышленно выпускаемые фибриновые клеи, гели и т.д. [22–32].
В последние годы в различных литературных источниках все чаще упоминается в качестве средства для остановки капиллярных и паренхиматозных кровотечений препарат Гемоблок, который представляет собой 1% водный раствор неполной серебряной соли полиакриловой кислоты, содержащий наночастицы серебра, оказывающий гемостатический, бактерицидный, противовирусный и противогрибковый эффекты. Препарат действует местно, не проникает в системный кровоток, не содержит компонентов животного происхождения, не проявляет раздражающего, прижигающего, вяжущего, токсического, резорбтивного или аллергенного действия, а также побочного действия на ткани. Препарат не требует дополнительного оборудования при использовании, не ухудшает визуализацию в области нанесения, не приводит к тромбообразованию, повышению скорости оседания эритроцитов [33–37]. Действие на раневые поверхности изучали врачи различных клинических специальностей (хирургии, эндоскопии, гинекологии и офтальмологии), а также имеется несколько публикаций, посвященных применению данного препарата при операциях у больных с ХТ. В.Г. Лейзерман и соавт. в 2020 г. опубликовали исследование, в которое вошли 325 пациентов, в результате которого они сделали вывод о том, что препарат позволяет не только оптимизировать процесс ДТ, но и предупредить возможные осложнения, ускорить заживление тонзиллярной ниши, сократить сроки трудовой и социальной реабилитации [38]. Схожие данные продемонстрировали Д.С. Пшенников и соавт. в 2020 и 2024 г. [39, 40]. Однако в существующих публикациях недостаточно информации о методах остановки кровотечения в интраоперационном и раннем послеоперационном периоде, отсутствуют оценки сроков кровотечения и отдаленных результатов лечения. Соответственно, результаты использования препарата Гемоблок у больных после ДТ по поводу ХТ должным образом не оценивали, в том числе и в отдаленном периоде.
Послеоперационный уход за пациентом и профилактика послеоперационных кровотечений являются важными этапами лечения, которые могут быть оптимизированы не только с точки зрения медикаментозного лечения, но и на основе повышения эффективности мониторинга течения раневого процесса в тонзиллярных нишах. Мезофарингоскопия в данном случае является наиболее распространенным методом контроля, однако дает только качественную оценку, в значительной степени зависящую от опыта врача. Измерение тканевой перфузии – полезный диагностический параметр ран, который может помочь определить их способность к заживлению [41]. В настоящее время для бесконтактной, производительной и объективной диагностики раневой поверхности набирают популярность неинвазивные оптические методы, к которым относятся лазерная допплеровская визуализация перфузии [42], лазерная спекл-диагностика [43], методы анализа хемилюминесценции, конфокальная лазерная эндомикроскопия [44], автофлуоресценции [45] и т.д. Перечисленные подходы к контролю состояния слизистой оболочки (СО) подразумевают сложную организацию регистрации данных, введение в ткани дополнительных веществ либо обладают недостаточной чувствительностью и точностью.
Одним из перспективных методов оценки состояния мягких тканей глотки является фотоплетизмография, которая основана на регистрации в течение ограниченного времени и последующем анализе изображений исследуемой ткани, позволяющем оценить изменение во времени объема крови в микроциркуляторном русле исследуемой ткани, или перфузию [46]. Интенсивность пикселей последовательности изображений зависит от количества отраженного от ткани излучения, изменяющегося в зависимости от объема протекающей крови и, как следствие, оптической плотности. Фотоплетизмография – простой в технической реализации, достаточно чувствительный и быстрый метод [47], основным недостатком которого является сильная зависимость от артефактов движения объекта в кадре.
Учитывая сказанное, остается актуальной проблема контроля и ускорения течения раневого процесса, а также снижения болевых ощущений после тозиллэктомии, при этом существующие методы, направленные на профилактику и остановку интраоперационных и послеоперационных кровотечений при тонзиллэктомии, в полной мере не решили данную проблему.
Цель исследования – оценка влияния на течение раневого процесса после ДТ новых подходов к контролю и ускорению заживления, в частности местного применения гемостатических препаратов комплексного действия и цифровых оптических методов оценки кровенаполнения. Полученные в исследовании данные могут лечь в основу разработки новой методики ведения пациентов при ДТ.
Материалы и методы
Исследуемый препарат
В качестве гемостатического препарата в исследовании использовали 1% водный раствор неполной серебряной соли полиакриловой кислоты, содержащий наночастицы серебра. При взаимодействии с белками плазмы крови, главным образом с альбумином, препарат формирует на раневой поверхности полимерный комплекс (полиакриловую матричную структуру, связанную с молекулами альбумина). Такая структура упаковывается в несколько микрослоев, создавая прочную полиметакрилатную пленку на поверхности раны. Агрегаты белков могут составлять до 1000 молекул и создавать пленку толщиной до 1 микрона (мкм). Весь процесс создания первичной матрицы и интеграции белковых комплексов начинается с первых секунд и занимает до 2 мин. В дальнейшем поверхностная структура «препарат – белок» замещается фибрином. При образовании полимерного комплекса наступает гемостаз. Полиметакрилатная пленка не видима невооруженным глазом, биодеградирует естественным путем в течение 1 сут. Практически одновременно с формированием устойчивой поверхностной пленки начинается процесс фибринизации/коллагенизации, а полная коллагенизация поверхности происходит за 2–3 сут. Препарат за счет наличия в составе наночастиц серебра обладает бактерицидным, противовирусным и противогрибковым действиями. Бактерицидный эффект проявляется в отношении большинства известных грамположительных и грамотрицательных бактерий, таких как Streptococcus spp., Staphylococcus spp., Moraxella spp. и других, грибковой флоры (Candida spp. и иных), а также к устойчивым внутрибольничным штаммам бактерий. Гемоблок препятствует развитию раневой инфекции, а раны заживают первичным натяжением шва без нагноений [33–37].
Экспериментальная выборка
В исследование, проводимое в Клинике болезней уха, горла и носа ФГАОУ ВО «Первый МГМУ им. И.М. Сеченова» (Сеченовский Университет), включены 140 (100%) пациентов в возрасте 18–66 лет, из них 60 (42%) – мужчины, 80 (57%) – женщины с ТАФ II ХТ. Диагноз во всех случаях устанавливали на основании жалоб, анамнеза, клинической картины, стандартного оториноларингологического осмотра с цифровой визуализацией и результатов лабораторных исследований. Критериями включения в исследование стали возраст 18–70 лет, наличие ТАФ II ХТ, согласие пациента на проведение лечения в соответствии с клиническими рекомендациями Национальной медицинской ассоциации оториноларингологов и участие в данном клиническом исследовании.
В зависимости от вариантов ведения во время операции и в послеоперационном периоде все пациенты, включенные в исследование, разделены на 3 группы.
Группу 1 или контрольную составили 35 человек, средний возраст которых – 30 лет, из них 18 – женщины (средний возраст – 32 года), 17 – мужчины (средний возраст – 29 лет). В данной группе 1% водный раствор неполной серебряной соли полиакриловой кислоты, содержащий наночастицы серебра, не применяли.
Группу 2 составили 35 человек, средний возраст которых – 30 лет, из них 20 – женщины (средний возраст – 31 год), 15 – мужчины (средний возраст – 30 лет). В данной группе 1% водный раствор неполной серебряной соли полиакриловой кислоты, содержащий наночастицы серебра, применяли только интраоперационно.
Группу 3 составили 70 пациентов, средний возраст которых – 32 года, из них 39 – женщины (средний возраст – 33 года), 31 – мужчины (средний возраст – 31 год). В данной группе 1% водный раствор неполной серебряной соли полиакриловой кислоты, содержащий наночастицы серебра, применяли интраоперационно и в послеоперационном периоде.
Протокол исследования
Всем пациентам выполнена ДТ по классической методике под общим обезболиванием (под эндотрахеальным наркозом). В группе 1 гемостаз осуществляли стандартными методами: радиоволновой коагуляцией кровоточащих участков, прижатием марлевых тампонов, прошиванием небных дужек. В группе 2 на область миндаликовых ниш путем орошения и установки смоченных стерильных марлевых тампонов наносили на 1–2 мин в объеме 2–3 мл 1% водный раствор неполной серебряной соли полиакриловой кислоты, содержащий наночастицы серебра. В группе 3 интраоперационно препарат наносили так же, как и в группе 2, и дополнительно в послеоперационном периоде орошали миндаликовые ниши 2–3 мл препарата в день до полного отхождения фибрина.
В послеоперационном периоде на всех пациентов в течение первых 7 сут заполняли анкеты с оценкой выраженности клинических проявлений (показателей фибрина, отека СО, наличия сгустков крови и эпителизации). В анкете также отражали болевые ощущения (пробу глоткá и Визуальную аналоговую шкалу), количество обезболивающих препаратов, примененных по просьбе пациента, учитывали каждый эпизод кровотечения. Проводили документирование фарингоскопической картины при помощи эндофотографии со дня поступления до полного отхождения фибрина. Осуществляли регистрацию количественных характеристик тканей методом фотоплетизмографии.
Материалом для цитологического исследования стали мазки-отпечатки из тонзиллярных ниш. Материал извлекали из раны поролоновым тупфером и наносили на обезжиренные предметные стекла. Полученный материал после предварительного высыхания на воздухе окрашивали Азур-эозином по Паппенгейму и исследовали с помощью светового микроскопа [48, 49].
Фотоплетизмографическое исследование
Фотоплетизмография позволяет бесконтактно и неинвазивно регистрировать изменения кровенаполнения поверхностных слоев тканей на основе анализа изменения их оптических характеристик [50]. Вызванные работой сердца периодические колебания объема крови в исследуемых тканях приводят к изменению соотношения поглощенного и обратно рассеянного тканями излучения [51]. Регистрация обратно рассеянного излучения, например в виде изображений тканей с помощью цифровой камеры, при контролируемом освещении позволяет оценивать изменения в кровенаполнении. Наиболее частым объектом измерений в фотоплетизмографическом исследовании стали кожные покровы, однако существуют работы, показывающие возможность контроля кровенаполнения внутренних органов и отдельных областей полости рта [52–54]. В настоящее время в научной литературе отсутствуют данные об использовании метода фотоплетизмографии для контроля состояния тонзиллярных ниш в послеоперационном периоде. Для количественной оценки и визуализации кровенаполнения тканей указанным методом совместно с ФГБУН НТЦ УП РАН разработана соответствующая зондовая экспериментальная установка (рис. 1).
Рис. 1. Экспериментальная установка для неинвазивного мониторинга кровенаполнения СО тонзиллярных ниш:a – схема; b – реализация.
Ключевыми элементами системы являются эндоскопический зонд, обладающий полем зрения 60°, белые светодиодные источники излучения на дистальном конце, необходимые для устранения зеркальной составляющей скрещенных поляризаторов, и заокулярный модуль для регистрации изображений, включающий объектив с фокусным расстоянием 35 мм и видеокамеру. Зонд закрепляли на штативе с возможностью его поворота в трех плоскостях. Пациент находился на стуле с подголовником в комфортном положении. Во время съемки язык фиксировали шпателем. Зонд вводили в ротовую полость на 20–30 мм, изображения тонзиллярных ниш записывали в течение 10 с с частотой кадров 60 Гц, всего регистрировали 600 кадров. Обработку зарегистрированной последовательности кадров проводили в MATLAB с помощью оригинального алгоритма, подробно описанного A. Guryleva и соавт. (2024 г.) [55], включающего коррекцию межкадровых смещений исследуемой области, определение гиперемированной области, покадровое вычисление среднего значения интенсивности пикселей в выделенной области. Полученный сигнал из усредненных значений подвергали Фурье-фильтрации в диапазоне частот, соответствующих сердечной активности. Отфильтрованный сигнал представлял собой фотоплетизмограмму, отражающую изменение кровенаполнения исследуемых тканей во времени (рис. 2.). В качестве метрики кровенаполнения использовали амплитуду фотоплетизмограммы. Съемку тонзиллярных ниш пациентов проводили на 1, 3 и 7-й дни после операции.
Рис. 2. Пример исходного изображения (a), выделенной гиперемированной области СО (b), исходный сигнал, фотоплетизмограмма и Фурье-спектр фотоплетизмограммы гиперемированной области (c).
Результаты и обсуждение
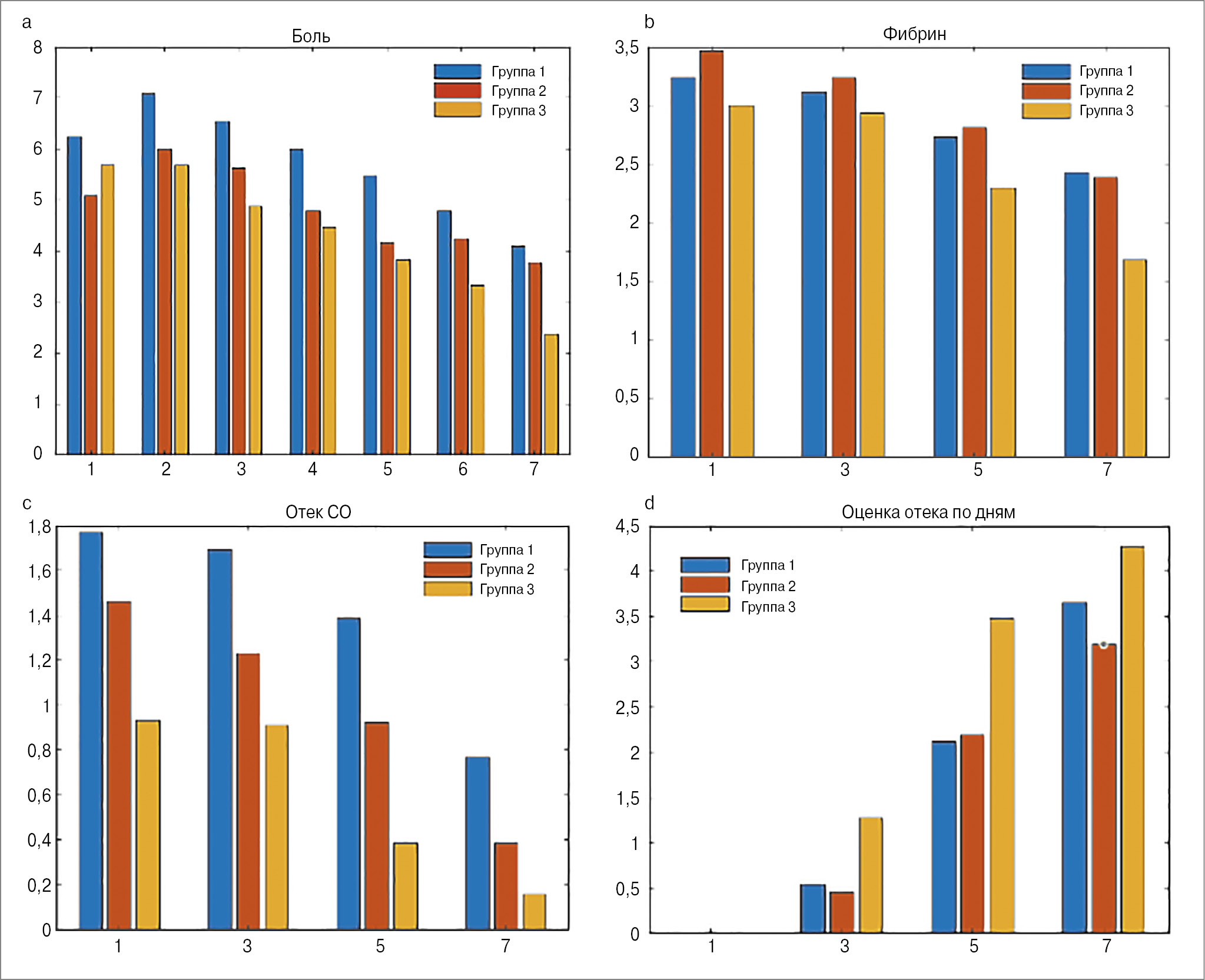
Данные клинического наблюдения, а именно динамика боли, отхождения фибрина, эпителизации и отека по дням, проанализированы по отдельным группам пациентов и дням наблюдения: определены средние, минимальные и максимальные значения. Результаты представлены на рис. 3. В ходе проведенного исследования отмечено, что в группе 3, т.е. у пациентов, которые получали препарат интраоперационно и в послеоперационный период, снизились болевые ощущения в глотке (рис. 3, a), наблюдались более быстрое отхождение фибрина (рис. 3, b), уменьшение отека СО (рис. 3, c), более активная эпителизация раневой поверхности (рис. 3, d) относительно контрольной группы. В группе 2 наблюдали те же эффекты, но в менее выраженной форме.
Рис. 3. Данные клинического наблюдения:a – оценка боли; b – оценка отхождения фибрина; c – оценка эпителизации; d – оценка отека по дням.
На ускорение процесса уменьшения отека, регенерации послеоперационной области, отхождение фибрина также указывают данные фарингоскопической картины при помощи фотографии. Динамика заживления в разных группах на 1, 3, 7, 10-е сутки показана на рис. 4.
Рис. 4. Примеры динамики заживления послеоперационных ран:a – в группе 1; b – в группе 2; c – в группе 3.
В результате цитологического исследования препаратов мазков – отпечатков с миндаликовых ниш (рис. 5) – определено, что после применения препарата увеличивается количество незрелых клеток (глубоких слоев) многослойного плоского эпителия. Отмечается скопление глубоких слоев многослойного плоского эпителия, умеренно выражена полиморфноклеточная лейкоцитарная реакция (сегментоядерные нейтрофилы, гистиоциты, лимфоциты) (см. рис. 5, a, b). Отмечается полиморфизм лейкоцитарной реакции: несмотря на значительное преобладание сегментоядерных нейтрофилов, увеличивается количество гистиоцитов и лимфоцитов и появляются эозинофилы (см. рис. 5, c). Препарат стимулирует эпителизацию раневой поверхности (увеличивается количество клеток плоского эпителия, в ряде случаев отмечается плоскоклеточная метаплазия); см. рис. 5, d. Появляются фибробласты (см. рис. 5, e). Стимулируется фагоцитоз бактерий (см. рис. 5, f), активизируются сегментоядерные нейтрофилы (большое количество клеток с вакуолизацией цитоплазмы).
Рис. 5. Изображения цитологических препаратов. Мазки-отпечатки с миндаликовой ниши после применения гемостатического препарата. Окраска Азур-эозином. x40:a – увеличение количества незрелых клеток (глубоких слоев) многослойного плоского эпителия; b – скопление незрелых клеток многослойного плоского эпителия; c – сегментоядерные нейтрофилы; d – элементы плоскоклеточной метаплазии, поверхностные клетки многослойного плоского эпителия, небольшое количество лейкоцитов; e – клетки типа фибробластов отростчатой формы, умеренно выраженная лейкоцитарная реакция; f – фагоцитоз бактерий.
Количественную оценку кровенаполнения тканей послеоперационной раны, полученную с помощью фотоплетизмографии, проводили по отдельным группам пациентов в указанные ранее дни наблюдения. Для каждого набора данных определены средние, минимальные и максимальные значения (рис. 6). Изменение величины амплитуды фотоплетизмограммы по дням соответствует динамике снижения показателей для соответствующей группы (см. рис. 3). Измерения до и после обработки тонзиллярных ниш могут свидетельствовать о быстром отклике тканей на воздействие препаратом.
Рис. 6. Сравнение значений амплитуды фотоплетизмограммы по группам.
Заключение
Исследование показало, что применение местного гемостатического препарата 1% водного раствора неполной серебряной соли полиакриловой кислоты с наночастицами безопасно, позволяет повысить эффективность течения раневого процесса миндаликовых ниш в отношении большинства традиционно оцениваемых показателей и, соответственно, ускорить процессы заживления. Результаты данной работы продемонстрировали, что метод фотоплетизмографии и предложенное аппаратно-программное обеспечение позволяют провести неинвазивную и количественную оценки кровенаполнения тканей СО полости рта, труднодоступных для традиционных инструментальных методов. Данные фотоплетизмографического исследования соответствуют результатам стандартного клинического наблюдения, однако повышают объективность и скорость исследования, а также его комфортность для пациента. Предложенный комплексный подход к ведению больных после ДТ, основанный на применении гемостатического препарата с целью профилактики кровотечений и ускорения регенерации послеоперационной раны, а также метода фотоплетизмографии для неинвазивной количественной оценки кровенаполнения в тканях послеоперационной раны, может дополнить существующие традиционные варианты планирования, ведения и лечения хирургических пациентов в клинической практике.
Раскрытие интересов. Авторы декларируют отсутствие явных и потенциальных конфликтов интересов, связанных с публикацией настоящей статьи.
Disclosure of interest. The authors declare that they have no competing interests.
Вклад авторов. Авторы декларируют соответствие своего авторства международным критериям ICMJE. А.В. Толданов – валидация, исследование, ресурсы, написание – первоначальный черновик, визуализация; Г.Н. Никифорова – валидация, рецензирование, редактирование; М.В. Свистушкин – валидация; Е.Д. Куликова – исследование, визуализация; А.В. Гурылева – методология, формальный анализ, курирование данных, написание – рецензирование и редактирование; А.С. Мачихин – методология, валидация, руководство; В.М. Свистушкин – концептуализация, методология, валидация, руководство.
Authors’ contribution. The author declare the compliance of their authorship according to the international ICMJE criteria. A.V. Toldanov – validation, research, resources, writing of the initial draft, visualization; G.N. Nikiforova – validation, review, editing; M.V. Svistushkin – validation; E.D. Kulikova – research, visualization; A.V. Guryleva – methodology, formal analysis, data curation, writing, reviewing, and editing; A.S. Machikhin – methodology, validation, management; V.M. Svistushkin – conceptualization, methodology, validation, management.
Источник финансирования. Работа в части разработки и применения аппаратно-программных средств для проведения фотоплетизмографического исследования выполнена в рамках Государственного задания ФГБУН НТЦ УП РАН (FFNS-2025-0008). Результаты работы получены с использованием оборудования Центра коллективного пользования ФГБУН НТЦ УП РАН.
Funding source. The work on the development and use of hardware and software for photoplethysmography examination was conducted as part of the State Assignment of the Scientific and Technological Centre of Unique Instrumentation of the Russian Academy of Sciences (FFNS-2025-0008). The study results were obtained using the equipment of the Shared Research Facility of the Scientific and Technological Centre of Unique Instrumentation of the Russian Academy of Sciences.
Соответствие принципам этики. Протокол исследования одобрен локальным этическим комитетом ФГАОУ ВО «Первый МГМУ им. И.М. Сеченова» (Сеченовский Университет); протокол №04-24 от 21.02.2024. Одобрение и процедуру проведения протокола получали по принципам Хельсинкской конвенции.
Ethics approval. The study was approved by the local ethics committee of Sechenov First Moscow State Medical University (Sechenov University); protocol №04-24 dated 21.02.2024. The approval and procedure for the protocol were obtained in accordance with the principles of the Helsinki Convention.
Информированное согласие на публикацию. Пациенты подписали форму добровольного информированного согласия на публикацию медицинской информации.
Consent for publication. Written consent was obtained from the patients for publication of relevant medical information and all of accompanying images within the manuscript.
Об авторах
Алексей Владимирович Толданов
ФГАОУ ВО «Первый Московский государственный медицинский университет им. И.М. Сеченова» Минздрава России (Сеченовский Университет)
Автор, ответственный за переписку.
Email: toldanov_a_v@staff.sechenov.ru
ORCID iD: 0000-0002-6164-8594
врач-оториноларинголог, зав. оперблоком Клиники болезней уха, горла и носа
Россия, МоскваГалина Николаевна Никифорова
ФГАОУ ВО «Первый Московский государственный медицинский университет им. И.М. Сеченова» Минздрава России (Сеченовский Университет)
Email: toldanov_a_v@staff.sechenov.ru
ORCID iD: 0000-0002-8617-0179
д-р мед. наук, проф. каф. болезней уха, горла и носа
Россия, МоскваМихаил Валерьевич Свистушкин
ФГАОУ ВО «Первый Московский государственный медицинский университет им. И.М. Сеченова» Минздрава России (Сеченовский Университет)
Email: toldanov_a_v@staff.sechenov.ru
ORCID iD: 0000-0002-8552-1395
канд. мед. наук, доц. каф. болезней уха, горла и носа
Россия, МоскваЕвгения Денисовна Куликова
ФГБУН «Научно-технологический центр уникального приборостроения Российской академии наук»
Email: toldanov_a_v@staff.sechenov.ru
ORCID iD: 0009-0005-0595-4422
инженер-исследователь лаб. биомедицинских приборов
Россия, МоскваАнастасия Валентиновна Гурылева
ФГБУН «Научно-технологический центр уникального приборостроения Российской академии наук»
Email: toldanov_a_v@staff.sechenov.ru
ORCID iD: 0000-0003-2239-3725
канд. техн. наук, науч. сотр. лаб. биомедицинских приборов
Россия, МоскваАлександр Сергеевич Мачихин
ФГБУН «Научно-технологический центр уникального приборостроения Российской академии наук»
Email: toldanov_a_v@staff.sechenov.ru
ORCID iD: 0000-0002-2864-3214
д-р техн. наук, проф., зав. лаб. биомедицинских приборов
Россия, МоскваВалерий Михайлович Свистушкин
ФГАОУ ВО «Первый Московский государственный медицинский университет им. И.М. Сеченова» Минздрава России (Сеченовский Университет)
Email: toldanov_a_v@staff.sechenov.ru
ORCID iD: 0000-0001-7414-1293
д-р мед. наук, проф., зав. каф. болезней уха, горла и носа
Россия, МоскваСписок литературы
- Преображенский Б.С., Попова А.М. Ангина, хронический тонзиллит и сопряженные с ним заболевания. М.: Наука, 1970 [Preobrazhenskii BS, Popova AM. Angina, khronicheskii tonzillit i sopriazhennye s nim zabolevaniia. Moscow: Nauka, 1970 (in Russian)].
- Хамзалиева Р.Б. Динамические показатели хирургической активности при хроническом тонзиллите. Вестник оториноларингологии. 2007;2:28-9 [Khamzalieva RB. Dinamicheskie pokazateli khirurgicheskoi aktivnosti pri khronicheskom tonzillite. Vestnik otorinolaringologii. 2007;2:28-9 (in Russian)].
- Крюков А.И., Изотова Г.Н., Захарова А.Ф., и др. Актуальность проблем хронического тонзиллита. Вестник оториноларингологии. 2009;5:4-6 [Kriukov AI, Izotova GN, Zakharova AF, et al. Aktual'nost' problem khronicheskogo tonzillita. Vestnik otorinolaringologii. 2009;5:4-6 (in Russian)].
- Пальчун В.Т. Оториноларингология: национальное руководство. М.: ГЭОТАР-Медиа, 2016 [Pal'chun VT. Otorinolaringologiia: natsional'noe rukovodstvo. Moscow: GEOTAR-Media, 2016 (in Russian)].
- Пальчун В.Т., Лучихин Л.А., Крюков А.И. Воспалительные заболевания глотки. М.: ГЭОТАР-Медиа, 2007 [Pal'chun VT, Luchikhin LA, Kriukov AI. Vospalitel'nye zabolevaniia glotki. Moscow: GEOTAR-Media, 2007 (in Russian)].
- Цветков Э.А. Аденотонзиллиты и их осложнения у детей. Лимфоэпителиальное глоточное кольцо в норме и при патологии. СПб.: ЭЛБИ, 2003 [Tsvetkov EA. Adenotonzillity i ikh oslozhneniia u detei. Limfoepitelial'noe glotochnoe kol'tso v norme i pri patologii. Saint Petersburg: ELBI, 2003 (in Russian)].
- Свистушкин В.М., Никифорова Г.Н., Топоркова Л.А. Место современных препаратов с направленным действием в лечении пациентов с тонзиллярной патологией. Медицинский Совет. 2018;(8):36-40 [Svistushkin VM, Nikiforova GN, Toporkova LA. The role of modern drugs of targeted action in the management of patients with tonsillar pathology. Medical Council. 2018;(8):36-40 (in Russian)]. doi: 10.21518/2079-701x-2018-8-36-40
- Oron Y, Marom T, Russo E, et al. Don't overlook the complications of tonsillectomy. J Fam Pract. 2010;59(10):E4-9.
- McNeill RA. A History of Tonsillectomy: Two Millenia of Trauma, Haemorrhage and Controversy. Ulster Med J. 1960;29(1):59-63.
- Костерева И.А. К остановке кровотечения после тонзиллэктомии. Журнал ушных, носовых и горловых болезней. 2001;2:76-8 [Kostereva IA. K ostanovke krovotecheniia posle tonzillektomii. Zhurnal ushnykh, nosovykh i gorlovykh boleznei. 2001;2:76-8 (in Russian)].
- Krishna P, Lee D. Post-tonsillectomy bleeding: a meta-analysis. Laryngoscope. 2001;111(8):1358-61. doi: 10.1097/00005537-200108000-00008
- Stevenson AN, Myer CM 3rd, Shuler MD, Singer PS. Complications and legal outcomes of tonsillectomy malpractice claims. Laryngoscope. 2012;122(1):71-4. doi: 10.1002/lary.22438
- Howells RC 2nd, Wax MK, Ramadan HH. Value of preoperative prothrombin time/partial thromboplastin time as a predictor of postoperative hemorrhage in pediatric patients undergoing tonsillectomy. Otolaryngol Head Neck Surg. 1997;117(6):628-32. doi: 10.1016/S0194-59989770044-5
- Солдатов И.Б. Руководство по оториноларингологии. 2-е изд., перераб. и доп. М.: Медицина, 1997 [Soldatov IB. Rukovodstvo po otorinolaringologii. 2-e izd., pererab. i dop. Moscow: Meditsina, 1997 (in Russian)].
- Gysin C, Dulguerov P. Hemorrhage after tonsillectomy: does the surgical technique really matter? ORL J Otorhinolaryngol Relat Spec. 2013;75(3):123-32. doi: 10.1159/000342314
- Hessén Söderman AC, Ericsson E, Hemlin C, et al. Reduced risk of primary postoperative hemorrhage after tonsil surgery in Sweden: results from the National Tonsil Surgery Register in Sweden covering more than 10 years and 54,696 operations. Laryngoscope. 2011;121(11):2322-6. doi: 10.1002/lary.22179
- Handler SD, Miller L, Richmond KH, Baranak CC. Post-tonsillectomy hemorrhage: incidence, prevention and management. Laryngoscope. 1986;96(11):1243-7. doi: 10.1002/lary.1986.96.11.1243
- Chowdhury K, Tewfik TL, Schloss MD. Post-tonsillectomy and adenoidectomy hemorrhage. J Otolaryngol. 1988;17(1):46-9.
- Collison PJ, Mettler B. Factors associated with post-tonsillectomy hemorrhage. Ear Nose Throat J. 2000;79(8):640-6.
- Pino Rivero V, Pardo Romero G, González Palomino A, et al. Post-tonsillectomy hemorrhage in adults. A retrospective study and literature review. An Otorrinolaringol Ibero Am. 2004;31(1):43-50 (in Spanish).
- Ranjit S, Brett RH, Lu PK, Aw CY. The incidence and management of post-tonsillectomy haemorrhage: a Singaporean experience. Singapore Med J. 1999;40(10):622-6.
- Курилин И.А., Горбаческий Н.О. О патологии лимфоглоточного кольца у детей. Журнал ушных, носовых и горловых болезней. 1976;4:57-63 [Kurilin IA, Gorbacheskii NO. O patologii limfoglotochnogo kol'tsa u detei. Zhurnal ushnykh, nosovykh i gorlovykh boleznei. 1976;4:57-63 (in Russian)].
- Мостовая Т.С. Применение струйных безыгольных методов введения анестетиков при тонзиллэктомии у детей. Журнал ушных, носовых и горловых болезней. 1978;4:91-2 [Mostovaia TS. Primenenie struinykh bezygol'nykh metodov vvedeniia anestetikov pri tonzillektomii u detei. Zhurnal ushnykh, nosovykh i gorlovykh boleznei. 1978;4:91-2 (in Russian)].
- Candan S, Yücetürk AV, Muhtar H. The effect of peritonsillar infiltration on intra-operative blood loss in children. J Otolaryngol. 1992;21(6):439-40.
- Hatton RC. Bismuth subgallate-epinephrine paste in adenotonsillectomies. Ann Pharmacother. 2000;34(4):522-5. doi: 10.1345/aph.19216
- Rowlands RG, Hicklin L, Hinton AE. Novel use of nebulised adrenaline in the treatment of secondary oropharyngeal haemorrhage. J Laryngol Otol. 2002;116(2):123-4. doi: 10.1258/0022215021909836
- Moralee SJ, Carney AS, Cash MP, Murray JA. The effect of fibrin sealant haemostasis on post-operative pain in tonsillectomy. Clin Otolaryngol Allied Sci. 1994;19(6):526-8. doi: 10.1111/j.1365-2273.1994.tb01282.x
- Акопян Л.В., Вишняков В.В., Белозерская Г.Г. Применение новой отечественной гемостатической салфетки на основе солей железа у больных с кровотечениями из тонзиллярной ниши: результаты клинических наблюдений. Вестник оториноларингологии. 2011;(2):55-7 [Akopian LV, Vishniakov VV, Belozerskaia GG. Primenenie novoi otechestvennoi gemostaticheskoi salfetki na osnove solei zheleza u bol'nykh s krovotecheniiami iz tonzilliarnoi nishi: rezul'taty klinicheskikh nabliudenii. Vestnik otorinolaringologii. 2011;(2):55-7 (in Russian)].
- Callanan V, Curran AJ, Smyth DA, Gormley PK. The influence of bismuth subgallate and adrenaline paste upon operating time and operative blood loss in tonsillectomy. J Laryngol Otol. 1995;109(3):206-8. doi: 10.1017/s0022215100129706
- Якобашвили И.Ю., Семенов Ф.В. Влияние местного применения обогащенной тромбоцитами плазмы на течение раневого процесса после тонзиллэктомии. Российская оториноларингология. 2008;4(35):26-30 [Iakobashvili IIu, Semenov FV. Vliianie mestnogo primeneniia obogashchennoi trombotsitami plazmy na techenie ranevogo protsessa posle tonzillektomii. Rossiiskaia otorinolaringologiia. 2008;4(35):26-30 (in Russian)].
- Берген О.И., Сухнева Т.П., Стуров В.Г. Лечение детей с хроническим аденоидитом при нарушениях коагулологического статуса. Вестник оториноларингологии. 2005;6:30-4 [Bergen OI, Sukhneva TP, Sturov VG. Lechenie detei s khronicheskim adenoiditom pri narusheniiakh koagulologicheskogo statusa. Vestnik otorinolaringologii. 2005;6:30-4 (in Russian)].
- Субботина Е.В., Моренко В.М. Современные данные об этиологии и патогенезе кровотечений в ЛОР-практике. Российская оториноларингология. 2008;(Suppl. 1):162-4 [Subbotina EV, Morenko VM. Sovremennye dannye ob etiologii i patogeneze krovotechenii v LOR-praktike. Rossiiskaia otorinolaringologiia. 2008;(Suppl. 1):162-4 (in Russian)].
- Андреев А.И., Ибрагимов Р.И., Кузнецов М.В., и др. Опыт клинического применения гемостатического средства «Гемоблок» в хирургической практике. Казанский медицинский журнал. 2015;96(3): 451-5 [Andreev AI, Ibragimov RI, Kuznetsov MV, et al. Opyt klinicheskogo primeneniia gemostaticheskogo sredstva «Gemoblok» v khirurgicheskoi praktike. Kazanskii meditsinskii zhurnal. 2015;96(3): 451-5 (in Russian)].
- Ташухожаева Д.Т., Салов И.А., Маршалов Д.В. Опыт применения местного гемостатика «Гемоблок» при лечении кровотечений из опухоли шейки матки. В: Мать и дитя: материалы X Юбилейного регионального научно-образовательного форума. М. 2017 [Tashukhozhaeva DT, Salov IA, Marshalov DV. Opyt primeneniia mestnogo gemostatika «Gemoblok» pri lechenii krovotechenii iz opukholi sheiki matki. In: Mat' i Ditia: materialy X Iubileinogo regional'nogo nauchno-obrazovatel'nogo foruma. Moscow. 2017 (in Russian)].
- Терещенко С.Г., Плоткин А.В., Мечева Л.В. Эндоскопическое применение гемостатического средства «Гемоблок» в комплексном лечении гастродуоденальных язвенных кровотечений. Хирург. 2017;4:13-21 [Tereshchenko SG, Plotkin AV, Mecheva LV. Endoskopicheskoe primenenie gemostaticheskogo sredstva «Gemoblok» v kompleksnom lechenii gastroduodenal'nykh iazvennykh krovotechenii. Khirurg. 2017;4:13-21 (in Russian)].
- Плоткин А.В., Покровский Е.Ж., Воронова Г.В., Менглет К.А. Оценка эффективности гемостатического действия препарата «Гемоблок» при полостных и лапароскопических вмешательствах. Мультицентровые клинические исследования. Вестник современной клинической медицины. 2015;8(1):56-61 [Plotkin AV, Pokrovskij EZh, Voronova GV, Menglet KA. The evaluation of the effectivity of hemostatic activity of Haemoblock for local topical use Haemoblock in different surgical situations. Multicenter clinical trials. Vestnik sovremennoi klinicheskoi meditsiny. 2015;8(1):56-61 (in Russian)].
- Сафин Д.А., Романов Д.В. Использование препарата «Гемоблок» в склерозировании сосудистых мальформаций. Педиатрия им. Г.Н. Сперанского. 2019;98(6):201-6 [Safin DA, Romanov DV. The use of «Hemoblock» drug in sclerotherapy of vascular malformations. Pediatria named after G.N. Speransky. 2019;98(6):201-6 (in Russian)].
- Лейзерман В.Г., Артемова Н.Э., Лейзерман М.Г. Гемоблок, как средство ускорения реабилитации после тонзиллэктомии. Евразийский Союз Ученых. Медицинские науки. 2020;71(3):37-8 [Leizerman VG, Artemova NE, Leizerman MG. Hemoblock as an acceleration cure for rehabilitation after tonzyllectomy. Meditsinskie nauki. 2020;71(3):37-8 (in Russian)]. doi: 10.31618/ESU.2413-9335.2020.3.71.591
- Пшенников Д.С., Пришвина Н.В., Галушкина А.Ю. Местная гемостатическая терапия в оториноларингологии. В: Материалы ежегодной научной конференции Рязанского государственного медицинского университета им. акад. И.П. Павлова, посвященной 70-летию основания вуза на Рязанской земле. Рязань. 2020 [Pshennikov DS, Prishvina NV, Galushkina AIu. Mestnaia gemostaticheskaia terapiia v otorinolaringologii. In: Materialy ezhegodnoi nauchnoi konferentsii Riazanskogo gosudarstvennogo meditsinskogo universiteta im. akad. I.P. Pavlova, posviashchennoi 70-letiiu osnovaniia vuza na Riazanskoi zemle. Ryazan. 2020 (in Russian)].
- Фетюков А.В., Пшенников Д.С. Влияние местной гемостатической терапии на состояние тонзиллярных ниш после тонзиллэктомии. В: Инновационные технологии в медицине: взгляд молодого специалиста: сборник докладов X Всероссийской научной конференции с международным участием молодых специалистов, аспирантов, ординаторов, посвященной 175-летию со дня рождения акад. И.П. Павлова и 120-летию со дня получения им Нобелевской премии. Рязань. 2024 [Fetiukov AV, Pshennikov DS. Vliianie mestnoi gemostaticheskoi terapii na sostoianie tonzilliarnykh nish posle tonzillektomii. In: Innovatsionnye tekhnologii v meditsine: vzgliad molodogo spetsialista: sbornik dokladov X Vserossiiskoi nauchnoi konferentsii s mezhdunarodnym uchastiem molodykh spetsialistov, aspirantov, ordinatorov, posviashchennoi 175-letiiu so dnia rozhdeniia akad. I.P. Pavlova i 120-letiiu so dnia polucheniia im Nobelevskoi premii. Ryazan. 2024 (in Russian)].
- Woo KY, Brandys TM, Marin JA. Assessing chronic wound perfusion in the lower extremity: current and emerging approaches. Chronic Wound Care Management and Research [Internet]. 2015;2:149-57. Available at: https://www.dovepress.com/assessing-chronic-wound-perfusion-in-the-lower-extremity-current-and-e-peer-reviewed-fulltext-article-CWCMR. Accessed: 17.09.2025.
- Kamshilin AA, Zaytsev VV, Lodygin AV, Kashchenko VA. Imaging photoplethysmography as an easy-to-use tool for monitoring changes in tissue blood perfusion during abdominal surgery. Sci Rep. 2022;12(1):1143. doi: 10.1038/s41598-022-05080-7
- Boas DA, Dunn AK. Laser speckle contrast imaging in biomedical optics. J Biomed Opt. 2010;15(1):011109. doi: 10.1117/1.3285504
- Liu D, Zhao X, Zeng X, et al. Non-Invasive Techniques for Detection and Diagnosis of Oral Potentially Malignant Disorders. Tohoku J Exp Med. 2016;238(2):165-77. doi: 10.1620/tjem.238.165
- Kim DH, Kim SW, Hwang SH. Efficacy of non-invasive diagnostic methods in the diagnosis and screening of oral cancer and precancer. Braz J Otorhinolaryngol. 2022;88(6):937-47. doi: 10.1016/j.bjorl.2020.12.019
- Volkov IY, Sagaidachnyi AA, Fomin AV. Photoplethysmographic Imaging of Hemodynamics and Two-Dimensional Oximetry. Opt Spectrosc. 2022;130(7):452-69. doi: 10.1134/S0030400X22080057
- Moço A, Verkruysse W. Pulse oximetry based on photoplethysmography imaging with red and green light: Calibratability and challenges. J Clin Monit Comput. 2021;35(1):123-33. doi: 10.1007/s10877-019-00449-y
- Кривонос В.А. Введение в клиническую цитологию. Оренбург: Изд-во Оренбургской государственной медицинской академии, 2006 [Krivonos VA. Vvedenie v klinicheskuiu tsitologiiu. Orenburg: Izd-vo Orenburgskoi gosudarstvennoi meditsinskoi akademii, 2006 (in Russian)].
- Саркисов Д.С., Перов Ю.Л. Микроскопическая техника. Руководство для врачей и лаборантов. М.: Медицина, 1996 [Sarkisov DS, Perov IuL. Mikroskopicheskaia tekhnika. Rukovodstvo dlia vrachei i laborantov. Moscow: Meditsina, 1996 (in Russian)].
- Alian AA, Shelley KH. Photoplethysmography. Best Pract Res Clin Anaesthesiol. 2014;28(4):395-406. doi: 10.1016/j.bpa.2014.08.006
- Kamshilin AA, Margaryants NB. Origin of Photoplethysmographic Waveform at Green Light. Physics Procedia. 2017;86:72-80. doi: 10.1016/j.phpro.2017.01.024
- Rubins U, Marcinkevics Z, Muckle RA, et al. Remote photoplethysmography for assessment of oral mucosa. In: Proc. SPIE 11073, Clinical and Preclinical Optical Diagnostics II, 110731F. 2019. doi: 10.1117/12.2526979
- Guryleva A, Machikhin A, Orlova E, et al. Photoplethysmography-Based Angiography of Skin Tumors in Arbitrary Areas of Human Body. J Biophotonics. 2024;e202400242. doi: 10.1002/jbio.202400242
- Park J, Seok HS, Kim SS, Shin H. Photoplethysmogram Analysis and Applications: An Integrative Review. Front Physiol. 2021;12:808451. doi: 10.3389/fphys.2021.808451
- Guryleva A, Machikhin A, Toldanov A, et al. Post-Surgical Non-Invasive Wound Healing Monitoring in Oropharyngeal Mucosa. J Biophotonics. 2024;17(10):e202400248. doi: 10.1002/jbio.202400248
Дополнительные файлы








